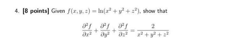
Question: with detailed solution tysm! 4. (8 points] Given f (x, y, z) = In('.r2 + 22), shovv that f 02 f 02 f 2 Ox2
![4. (8 points] Given f (x, y, z) = In('.r2 + 22),](https://s3.amazonaws.com/si.experts.images/answers/2024/06/66684dd69959a_70266684dd67026b.jpg)
with detailed solution tysm!

4. (8 points] Given f (x, y, z) = In('.r2 + 22), shovv that f 02 f 02 f 2 Ox2 + Y2 + 22
Step by Step Solution
There are 3 Steps involved in it
Get step-by-step solutions from verified subject matter experts
