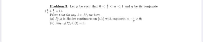
Question: with explaintion please can you clearfy which sum? Problem 3: Let p be such that 0
with explaintion please can you clearfy which sum?
Problem 3: Let p be such that 0 Step by Step Solution
There are 3 Steps involved in it
1 Expert Approved Answer
Step: 1 Unlock
Question Has Been Solved by an Expert!
Get step-by-step solutions from verified subject matter experts
Step: 2 Unlock
Step: 3 Unlock
