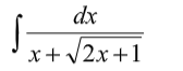
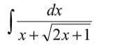
Question: Would you please help me evaluate this integral by integration using algebraic substitution? dx x+ v2x+1 dx

Would you please help me evaluate this integral by integration using algebraic substitution?

dx x+ v2x+1
dx
Step by Step Solution
There are 3 Steps involved in it
Get step-by-step solutions from verified subject matter experts
