Question: Write a C++ program called BFS.cpp that implements the Breadth-First Search (BFS) algorithm . Your program should read an input file name and a starting
Write a C++ program called BFS.cpp that implements the Breadth-First Search (BFS) algorithm. Your program should read an input file name and a starting node from a user. After that, your program should display the list of nodes visited. In the problem, you can assume that the number of vertices in the input file is less than or equal to 25. When you write the program, dont forget to include Title, Abstract, ID (A four-digit number), Name, and Date.
Input file format: This is a sample input file called t1.txt.

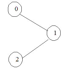
The first line (= 3 in the example) indicates that there are three vertices in the graph. For the homework, we can assume that the first vertex starts from the number 0. Thus, t1.txt describes a graph like below:

One blank space is used to delimiter the data. Note that theres no blank space at the end of each line. Your program must read the file correctly.
The following presents a sample run of the program. Your program has to run exactly like this.
Enter filename: C:\\tmp\\t1.txt
Enter a start vertex: 0
BFS order: 0 -> 1 -> 2
In the program, your program has to follow our convention (= ascending order).
This is another sample input file called t2.txt.
This is a sample run:
Enter filename: C:\\tmp\\t2.txt
Enter a start vertex: 0
BFS order: 0 -> 2 -> 1 -> 3 -> 4
101 010 101 3010
Step by Step Solution
There are 3 Steps involved in it
Get step-by-step solutions from verified subject matter experts
