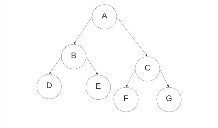
Question: Write a C program to create a binary tree as shown in bellow, with the following elements: A, B, C, D, E, F, G. After
Write a C program to create a binary tree as shown in bellow, with the following elements: A, B, C, D, E, F, G. After creating the tree, perform the pre-order, in-order and postorder traversal to display the elements.
Step by Step Solution
There are 3 Steps involved in it
Get step-by-step solutions from verified subject matter experts
