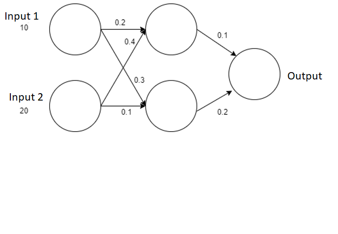
Question: Write a code that applies forward propagation to the following artificial neural network. The activation function sigmoid should be used. ( 1 / ( 1
Write a code that applies forward propagation to the following artificial neural network. The activation function sigmoid should be used. npexpressionx
Note: you can use any programming language you want or you can write a pseudo code.
Step by Step Solution
There are 3 Steps involved in it
1 Expert Approved Answer
Step: 1 Unlock
Question Has Been Solved by an Expert!
Get step-by-step solutions from verified subject matter experts
Step: 2 Unlock
Step: 3 Unlock
