Question: Write a MATLAB code where you input the given for matrices A and B. In order to concatenate matrices A and B, the user must
Write a MATLAB code where you input the given for matrices A and B. In order to concatenate matrices A and B, the user must input both matrices into the MATLAB code. Once both matrices have been inputted, the code will concatenate them with A on the right side and B on the left side. The code will then calculate the RREF. This part of the code is already given. The user must then write a bit where it prints the linear combination of the x values automatically (x1, x2, .... xn). This should also be done with the t values (if there are none basic columns) and the vector columns. The linear combination form should be as follows:

If the combination does not involve any non basic columns then place coefficients instead of the t values like the example below:
Givens:
Code:
A = [1 1;1 2]; % inputs A and B
V = [4;3];
X = A/V
Expected Output:

Another example but with non basic variables:
Code:
C = [1 1 -2 5; 1 2 4 -1]; % inputs
D = rref(C);
Expected Outputs :
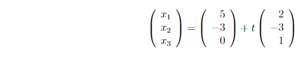
Finding for x1,x2, and x3

Linear combination:

u=x1v1+x2v2+x3v3 v=5v1v2 x1x2x3=530+t231 u=7v16v2+v3
Step by Step Solution
There are 3 Steps involved in it
Get step-by-step solutions from verified subject matter experts
