Question: Write a MATLAB code which uses Gauss-Seidel and Jacobi Numerical Methods for solving and prints the temperature distribution on the plate. And also displays the
Write a MATLAB code which uses Gauss-Seidel and Jacobi Numerical Methods for solving and prints the temperature distribution on the plate. And also displays the difference between two numerical methods.
The question is a dirichlet type of a question. PLEASE WRITE THE COMPLETED CODE.
Boundary Conditions:
Tleft = 80 C
Tright = 150 C
Tup = 100 C
Tbottom = 100 C
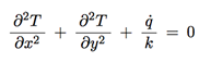
Equation:

2T 2T + + j2 0 r2 k
Step by Step Solution
There are 3 Steps involved in it
Get step-by-step solutions from verified subject matter experts
