Question: Write a numerical code in matlab Compute the FDM values corresponding to u(1/2) and u'(1) for DX=1/2, 1/4, 1/8, 1/16, etc and construct TABLES &
Write a numerical code in matlab

Compute the FDM values corresponding to u(1/2) and u'(1) for DX=1/2, 1/4, 1/8, 1/16, etc and construct TABLES & LOG-LOG Convergence graphs of the Relative Error versus DX.
Compute these results for various values of k (a,b) and C(c), like for example k=1,2,4,8, 16, etc and C=1,2,4,8,16,32,64,... up to the point that you cannot longer compute the exact value because limitations in the calculation of the exponential in MATLAB.
In each case EXTRACT & TABULATE the Rate of Convergence as function of DX
Construct graphs of u(x), and u'(x) comparing the Exact & FDM functions for several values of the parameters.
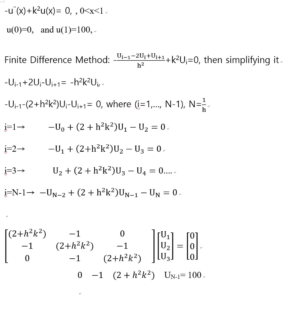
u(0)-0, and u(1)-100, Ui-1-2UitUi Finite Difference Metho:120O+k2U-0, then simplifying it. -Ui-1-2-h2k2)U-Ui+1-0, where (i=1, , N-1), N=1 0 1(2+h2k2) 0 0 0 0 2 0 -1 (2 + h2k2) UN-I-100 u(0)-0, and u(1)-100, Ui-1-2UitUi Finite Difference Metho:120O+k2U-0, then simplifying it. -Ui-1-2-h2k2)U-Ui+1-0, where (i=1, , N-1), N=1 0 1(2+h2k2) 0 0 0 0 2 0 -1 (2 + h2k2) UN-I-100
Step by Step Solution
There are 3 Steps involved in it
Get step-by-step solutions from verified subject matter experts
