Question: Write a numerical solution in Matlab. *C is non-zero Compute the FDM values corresponding to u(1/2) and u'(1) for DX=1/2, 1/4, 1/8, 1/16, etc and
Write a numerical solution in Matlab.

*C is non-zero
Compute the FDM values corresponding to u(1/2) and u'(1) for DX=1/2, 1/4, 1/8, 1/16, etc and construct TABLES & LOG-LOG Convergence graphs of the Relative Error versus DX.
Compute these results for various values of k (a,b) and C(c), like for example k=1,2,4,8, 16, etc and C=1,2,4,8,16,32,64,... up to the point that you cannot longer compute the exact value because limitations in the calculation of the exponential in MATLAB.
In each case EXTRACT & TABULATE the Rate of Convergence as function of DX
Construct graphs of u(x), and u'(x) comparing the Exact & FDM functions for several values of the parameters.
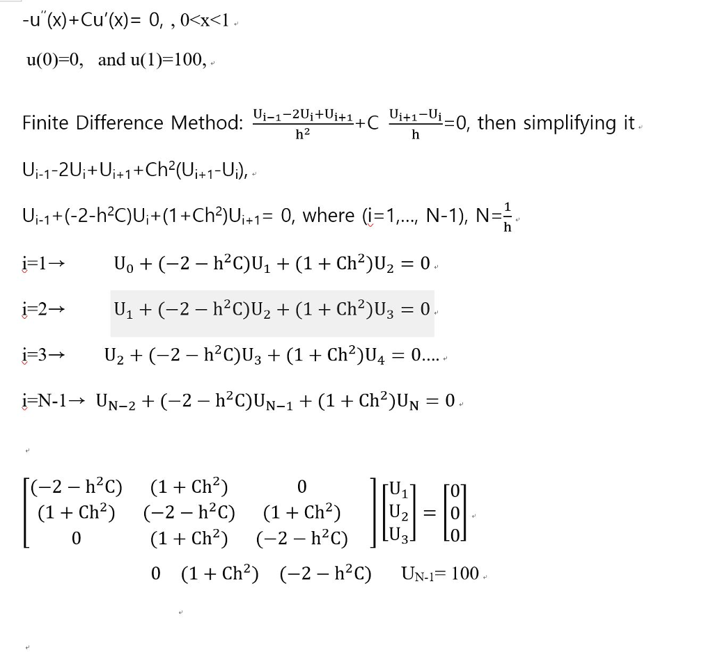
u(0)-0, and u(1)-100 Finite Difference Method. Uni-21+ + +C Uj+ -0, then simplifying it. Un+(-2-h2C)UMI +Ch2JUi+1-0, where 1-1 , N-1), N=1. i-1 (-2 -h'c) (1 + Ch2) 0 0 0 0 (1+Cr) (-2-hPC) UN-1=100
Step by Step Solution
There are 3 Steps involved in it
Get step-by-step solutions from verified subject matter experts
