Question: Write a short report that explains how the program works and give some execution examples. Consider the following graph that has costs attached to its
Write a short report that explains how the program works and give some execution examples.
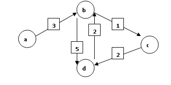
Consider the following graph that has costs attached to its edges:

Write a program in PROLOG that given two nodes X and Y in the graph above will find the minimum-cost path from node X to node Y and display the found path and its cost. All data about the graph should be declared in the program.
Example: the minimum path between a and d is [a,b,c,d] with cost = 6. (Subject: AI)
Step by Step Solution
There are 3 Steps involved in it
Report MinimumCost Path Finder in Prolog Introduction The task is to create a Prolog program capable of finding the minimumcost path between two nodes ... View full answer
Get step-by-step solutions from verified subject matter experts
