Question: Write an anonymous function F that represents the equation system you need to solve for in HW4.P1 Part (C): HW4.P1 A gas stream contains 40

Write an anonymous function F that represents theWrite an anonymous function F that represents theWrite an anonymous function F that represents theWrite an anonymous function F that represents theWrite an anonymous function F that represents theWrite an anonymous function F that represents theWrite an anonymous function F that represents the
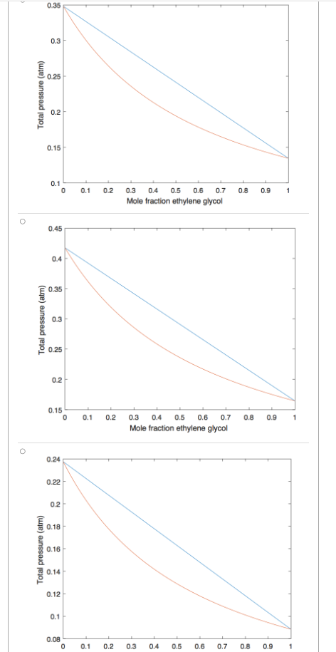
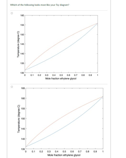
Write an anonymous function F that represents the equation system you need to solve for in HW4.P1 Part (C): HW4.P1 A gas stream contains 40 mol%% isopropanol in air and flows at 240 mol/min, 70*C, and 1 atm. You are to use a condenser operating at a lower temperature to liquefy and recover sopropanol for reuse in the process (A] Assume the air dissolved in the liquid stream is negligible. If the condenser cool the gas stream to 25*C and produces a liquid condensate stream that is in equilibrium with the exiting gas stream, what is the mole percent recovery of isopropanol? (B) Now if you aim at recovering 08%% of the isopropanol, at what temperature should the condenser operate? Still assume the air dissolved in the liquid stream is negligible (C) Then you want to take into account of the impact of the air dissolved in the liquid stream on the isopropanol recovery. How does the isopropanol recovery at 25 .C compare with the previous results in (A) if considering the air dissolved in the liquid stream? Script Save C Reset MATLAB Documentation Open Item in MATLAB Online X HW5. P1 X A gas stream contains 40 moll isopropanol in air and flows at X 240 mol/min, 70C, and 1 atm. You are to use a condenser operating I at a lower temperature to liquefy and recover isopropanol for reuse in the process. 6 X Part (C): You want to take into account of the impact of the air dissolved I in the liquid stream on the isopropanol recovery. How does the isopropanol I recovery at 25C compare with the previous results in (A) I if considering the air dissolved in the liquid stream? X IPA vapor pressure at $25 C 12 Psat = I mm Hg 13 14 X Henry's law constants at 25 "C (using Murphy Table B.5 *and* 15 % assuming 02 and N2 solubility in IPA similar to water. Get 16 % values at 25 "C by linear interpolation between 20 and 30 "C. % mm Hg HN2 = % mm Hg I equations are nonlinear so use fsolve I vector of unknowns 1 2 5 6 78 * = [ yIPA y02 yN2 n2 xIPA x02 xN2 n3 ] FO (X) [ . . X IPA MB . .. X 02 HB . .. X N2 HB * IPA Raoult's i . . * 02 Henry's * N2 Henry's * sum(y ) = 1 * sum( x) = 1 Run ScriptAt a plant that manufactures styrene, the reactor outlet operates at 100 kgmol/hr, 760 mmHg, and 500 C. It contains 50 mol% hydrogen (H2). 30 mol% ethylbenzene (CHjo), and 20 mol%% styrene (CpHe]. The reactor outlet is then cooled and partially condensed, then separated into vapor and liquid streams in a flash drum. This operates as a single equilibrium stage. The hydrogen-rich vapor stream is sent to a desulfurizetion process. This stream must contain no more than 0.2 mol% styrene. You need to find the operating temperature to achieve this and the mole fraction of ethylbenzene in the hydrogen-rich stream under this condition. Assume that hydrogen is negligibly soluble in the liquid leaving the condenser. An important condition that you should be aware of, is that ethylbenzene and styrene form a nearly ideal liquid solution. You need to write a MATLAB script to solve the problem. Use this template: HW4 P2 template.m & G . Remember: DO NOT change the names for the defined variables in the template Use the given order for the variables in the function 'F for fsolve DO NOT change the text content in the 'fprintf statements. E.g., for the line "fprintf(yH2 = %6.4f\\m', ), you need to fill the code in the underscored blank, but do not change anything in the text content "YH2 = %6.4f\\' D Question 1 5 pts In order to achieve 0.2 mol% styrene in the hydrogen-rich vapor stream, to what temperature (in "C) must the condenser be cooled? Round your answer to the nearest hundredth and do not include units D Question 2 5 pts What mole fraction of ethylbenzene is in the hydrogen-rich stream? Answer should be in the format 0.XXXX Do not include unitsWrite an anonymous function F that represents the equation system you need to solve for in HW4.P2: HW4.P2 At a plant that manufactures styrene, the reactor outlet operates at 100 kgmol/hr, 760 mmHg. and 500oC. It contains 50 mol% hydrogen (//2). 30 mol ethylbenzene (C://10). and 20 mol styrene (Calls)- The reactor outlet is then cooled and partially condensed, then separated into vapor and liquid streams in a flash drum. This operates as a single equilibrium stage The hydrogen-rich vapor stream is sent to a desulfurizetion process. This stream must contain no more than 0.2 mol% styrene. You need to find the operating temperature to achieve this and the mole fraction of ethylbenzene in the hydrogen-rich stream under this condition. Assume that hydrogen is negligibly soluble in the liquid leaving the condenser. An important condition that you should be aware of, is that ethylbenzene and styrene form a nearly ideal liquid solution. Script Save C Reset MATLAB Documentation Open Item in MATLAB Online XX Setup the system of equations X IMPORTANT: follos the order for the variables given in the comment below X Problem statment X At a plant that manufactures styrene, the reactor outlet operates at X 108 kgmol/hr, 760 molly, and 5830C. It contains 50 moll hydrogen (H2), 8 X 30 molX ethylbenzene (CBH10), and 20 moll styrene (CAHB). 9 % B X The reactor outlet is then cooled and partially condensed, 11 % then separated into vapor and liquid streams in a flash drum. 2 % This operates as a single equilibrium stage. 13 X 14 % The hydrogen-rich vapor stream is sent to a desulfurizetion process. 15 X This stream must contain no more than 0.2 moll styrene. 16 % You need to find the operating temperature to achieve this and 17 % the mole fraction of ethylbenzene in the hydrogen-rich stream under this condition. 18 X 9 X Assume that hydrogen is negligibly soluble in the liquid leaving the condenser. 1 X unknowns 22 X 1 2 3 4 5 6 7 23 X x = [yH2 yED xED x5 n2 n3 T] (follow this order) 24 25 F 0 (x) [ 26 27 28 29 38 Run ScriptUse Raoult's law, Murphy Table B.4, and MATLAB to create: 1. A Pxy vapor-liquid phase diagram for an ethylene glycol - ethanolamine binary mixture at 1309C. 2. A Txy diagram at 0.30 atm for the same binary mixture. There are certain requirements that must be satisfied in your code to be submitted (points will be deducted otherwise]: Plot the two diagrams using the command "subplot(1, 2, 1)" and "subplot(1, 2, 2)" to plot them on the same popup window, with the first on the left and the second on the right. Name the vector for the overall mole fractions of ethylene glycol as "z" For plotting the Pxy diagram, name the dew point pressure vector as "P_dp" and the bubble point pressure vector as "P_bp". For plotting the Txy diagram, name the dew point temperature vector as "T_dp" and the bubble point temperature vector as "T_bp". The axes on the diagrams must be labelled (using the function "xlabel" and "ylabel") D Question 1 4 pts Which of the following looks most like your Pay diagram? O 0.3 0.28 0.26 0.24 0.22 Total pressure (atm) 0.2 0.18 0.16 0.14 0.12 0.1 0 0.1 0.2 0.3 0.4 0.5 0.6 0.7 0.8 0.9 1 Mole fraction ethylene glycol0.35 0.3 0.25 Total pressure (atm) 0.2 0.15 0.1 0 0.1 0.2 0.3 0.4 0.5 0.6 0.7 0.8 0.9 1 Mole fraction ethylene glycol O 0.45 0.4 0.35 Total pressure (atm) 0.3 0.25 0.2 0.15 0 0.1 0.2 0.3 0.4 0.5 0.6 0.7 0.8 0.9 1 Mole fraction ethylene glycol O 0.24 0.22 0.2 0.18 Total pressure (atm) 0.16 0.14 0.12 0.1 0.08 0.1 0.2 0.3 0.4 0.5 0.6 0.7 0.8 0.9 1Which of the following looks most like your Tay diagram? O 160 155 150 Temperature (degree C) 145 140 135 130 0.1 0.2 0.3 0.4 0.5 0.6 0.7 0.8 0.9 1 Mole fraction ethylene glycol O 165 160 155 Temperature (degree C) 150 145 140 135 0 0.1 0.2 0.3 0.4 0.5 0.6 0.7 0.8 0.9 1 Mole fraction ethylene glycolO 150 145 140 Temperature (degree C) 135 130 125 0 0.1 0.2 0.3 0.4 0.5 0.6 0.7 0.8 0.9 1 Mole fraction ethylene glycol O 170 165 160 155 Temperature (degree C) 150 145 140 135 0.1 0.2 0.3 04 05 0.6 0.7 0.8 0.9 1 Mole fraction ethylene glycol

Step by Step Solution

There are 3 Steps involved in it

1 Expert Approved Answer
Step: 1 Unlock blur-text-image
Question Has Been Solved by an Expert!

Get step-by-step solutions from verified subject matter experts

Step: 2 Unlock
Step: 3 Unlock

Students Have Also Explored These Related Accounting Questions!