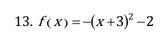
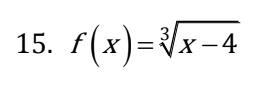
Question: Write the domain and range in interval notation. Write the domain and range in interval notation. fff
Write the domain and range in interval notation. Write the domain and range in interval notation.



\f\f\f
Step by Step Solution
There are 3 Steps involved in it
Get step-by-step solutions from verified subject matter experts
