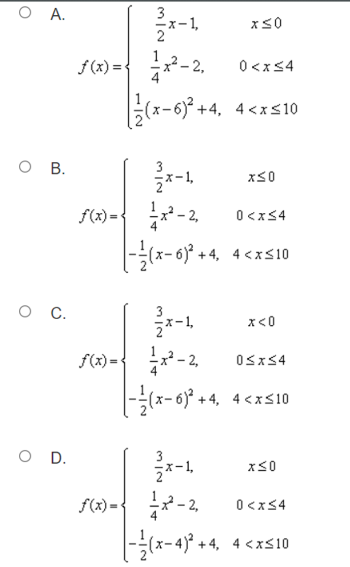
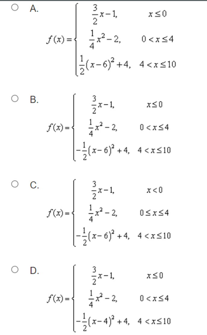
Question: Write the exponential function f (x) =-4. 201->) in the form f (x) = ab*. O A. X f (x)= -8. DO I O B.
















































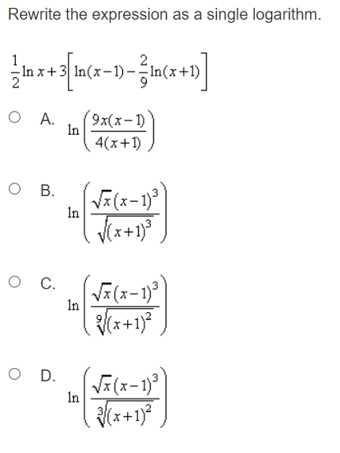
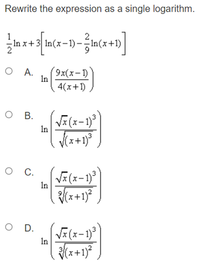
Write the exponential function f (x) =-4. 201->) in the form f (x) = ab*. O A. X f (x)= -8. DO I O B. X f (x) =-8. NI * O C. f (x) =-4. NI O D. f (x) = -8. (-2)"Find the zero(es) of the function f (x) =log3(x-1) +log3(2x+3) . O A. x = 2 and x = -1 O B. y = 1 and x= - WIN O C. -1+133 X= 4 O D. -1+1/33 X= 4Which of the following is the equation a(26+1) = 3c-d written in logarithmic form? O A. log. (3c -d) = 2b+1 O B. log. (2b +1) = 3c-d O C. log(26+1) a = 3c - d O D. log(26+1) (3c - d ) = aHowr does the graph of the transformed function g(x) = [033(2x-4) compare to the graph of its parent function f (z) =loga x ? 0 At The transformed function has been compressed horizontally and translated four units to the right. 0 B. The transformed function has been compressed horizontally and translated two units to the right. 0 C. The transformed function has been stretched horizontally and translated four units to the right. 0 D. The transformed function has been stretched horizontally and translated two units to the right. Rewrite the expression as a single logarithm. -In x+3 In(x-1) - -In(x+1) N O A. 9x( x - 1) 4(x + 1) O B. Vx (x-1)3 In V ( x + 1)3 O C. Vx (x-1) In 1( x + 1) 2 O D. Vx (x-1)3 In (x+1)2Solve 53x+1 _ 4x-5 for X. O A. 5log 4 +log 5 X=- log 4+3log 5 O B. 5log4-log 5 X= log 4 + 3log 5 O C. 5log4-log 5 X= log 4-3log 5 O D. 5log 4+log 5 X= log 4-31og 5Use the graph to answer the question. Identify the logarithmic function shown in the graph. O A. - - 108 2 ( x + 4) +6 N O B. y= -log, (x+4)+6 O C. y=-log2 (x -4) +6 O D. y=--log- (x-4)+6 N\fWhich of the following logarithmic expressions are equivalent to In vab + In ? Select all that apply. a b In 2e O B. In (avab ) -1 O C. In Va b O D. _Ina+-Inb-1 O E. Ina b-e NISolve log81 32x- log81 (x - 3) = = for X. O A. 24 X = 31 O B. 81 X= - 5 O C. 7293/3 X= 2433/3-32 O D. no solutionHow many discontinuities does the following piecewise function have? 30*+3 +1, x f(1) O B. f(-1)
Step by Step Solution
There are 3 Steps involved in it
Get step-by-step solutions from verified subject matter experts
