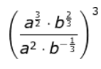
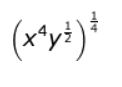
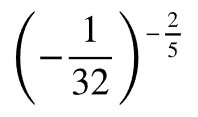
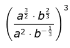
Question: Write the following powers as roots. Then evaluate each root without using a calculator. Simplify each of the following. Express your answer using only positive
























Write the following powers as roots. Then evaluate each root without using a calculator. Simplify each of the following. Express your answer using only positive exponents. \f3 NW a a2 . b- 3\fFor each of the following exponential functions below, state the base function and then describe the transformations which have been applied to produce the function.
Step by Step Solution
There are 3 Steps involved in it
Get step-by-step solutions from verified subject matter experts
