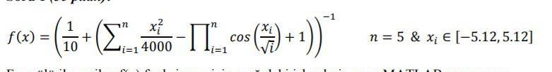
Question: Write the MATLAB program that performs the following operations for the function f (x) given by the formula! A random value will be generated in


Write the MATLAB program that performs the following operations for the function f (x) given by the formula! A random value will be generated in the given range for each variable x, and the value of the function will be calculated for these generated variable values. Until the function value is less than 1, the values of x variables will be updated according to the given rule. x, (t) - e `` k + I * rand () (1) 'xk if x (t)> 0 | x; (t + 1) = k = number of iterations (x: (t) + e k + I * rand () ifx; (t) drawn.
f(x) = 1 + 10 (" x? i=1 4000 5-". COS +1 = 5 & , [-5.12,5.12] Li=1 \x{1 (t) -e k+1 * rand xi(t + 1) = (k1 xi(t) + e +1 * rando if xi(t) > 0 k = iterasyon says if xi(t) 0 k = iterasyon says if xi(t)
Step by Step Solution
There are 3 Steps involved in it
Get step-by-step solutions from verified subject matter experts
