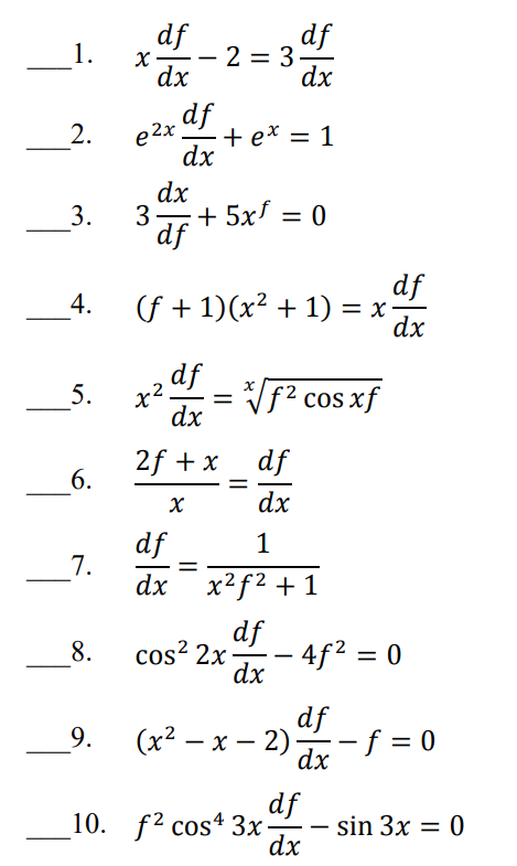
Question: Write Y if the differential equation is separable. Otherwise, write N. Provide a complete solution for each number. df 1 . X 2 = 3
Write Y if the differential equation is separable. Otherwise, write N.
Provide a complete solution for each number.

Step by Step Solution
There are 3 Steps involved in it
Get step-by-step solutions from verified subject matter experts
