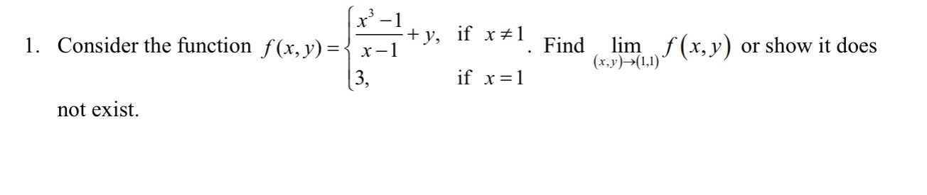
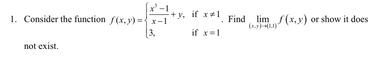
Question: X 1. Consider the function f (x, y) = ty, if x*1 x-1 . Find lim f (x, y) or show it does (x, y)-(1,1)


X 1. Consider the function f (x, y) = ty, if x*1 x-1 . Find lim f (x, y) or show it does (x, y)-(1,1) 3, if x =1 not exist
Step by Step Solution
There are 3 Steps involved in it
Get step-by-step solutions from verified subject matter experts
