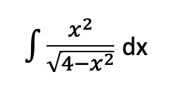
Question: ( x 2 ) / 4 x 2 Evaluate by parts:
(x2)/4x2
Evaluate by parts:

Step by Step Solution
There are 3 Steps involved in it
1 Expert Approved Answer
Step: 1 Unlock
Question Has Been Solved by an Expert!
Get step-by-step solutions from verified subject matter experts
Step: 2 Unlock
Step: 3 Unlock
