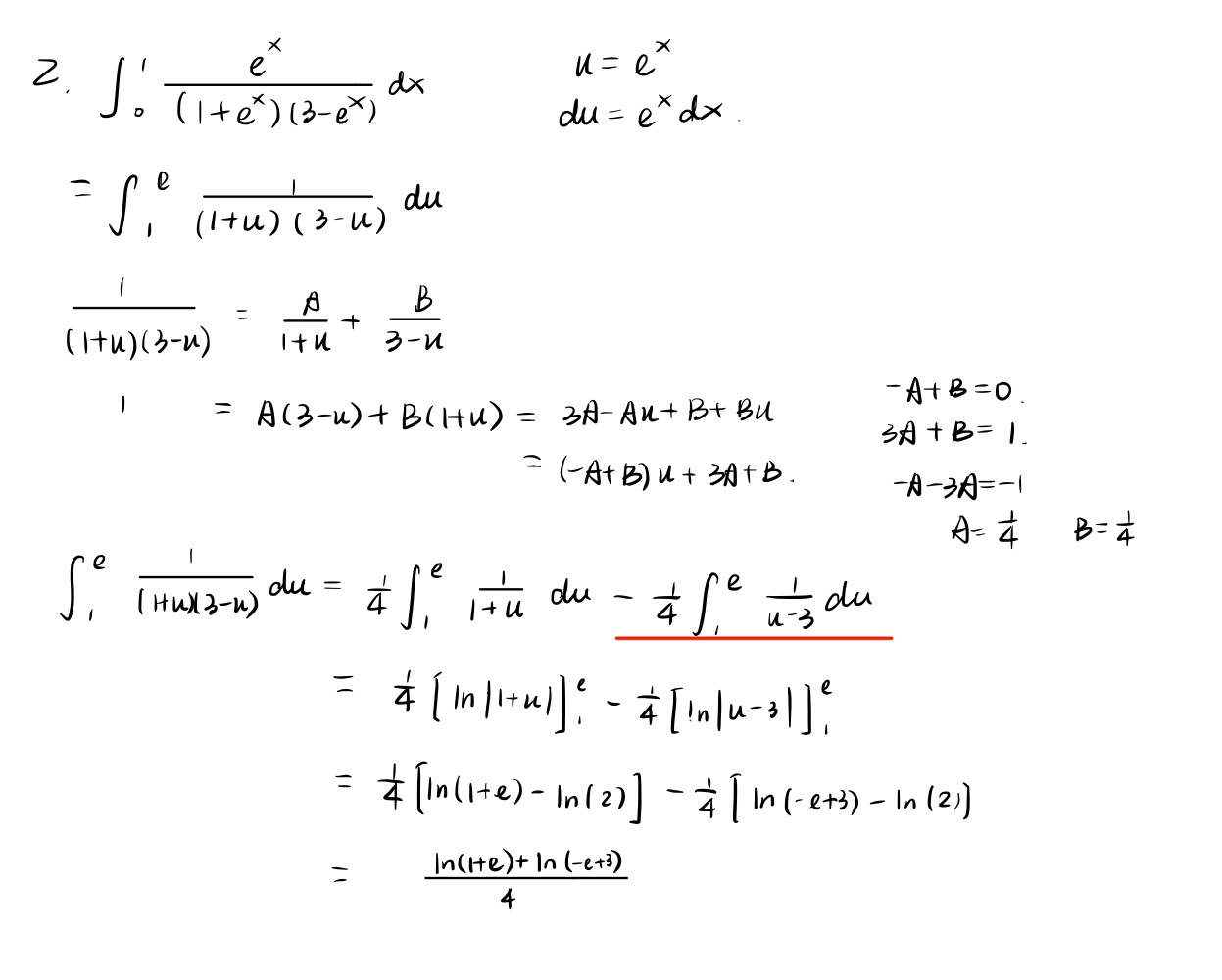
Question: X 2. Jo Tite ) 13- ex , dy e u = px du = ex dx = S. ( 1 tu ) (3 -

X 2. Jo Tite" ) 13- ex , dy e u = px du = ex dx = S. ( 1 tu ) (3 - u ) du A B + ( Itu) (3-2 ) It u 3-u - AtB = 0 = A (3-U) + B(Hu) = 3A-Au+ B+ Bu 3At B= 1. = ( - At B ) U + 3 AtB . A- 3A=-1 A- 4 B = 4 (HU ) (3-n ) du = 4 Itu du - if u's du = $ [ In/ itul] ? - [ Inlu-31 ). = $ [ In(ite) - In(2)] - 4 [ in(-e+ 3)- In (2)) In( ite ) + In (-e+3)
Step by Step Solution
There are 3 Steps involved in it
Get step-by-step solutions from verified subject matter experts
