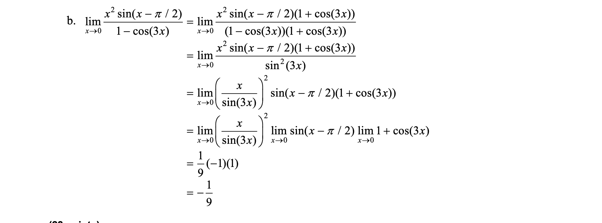
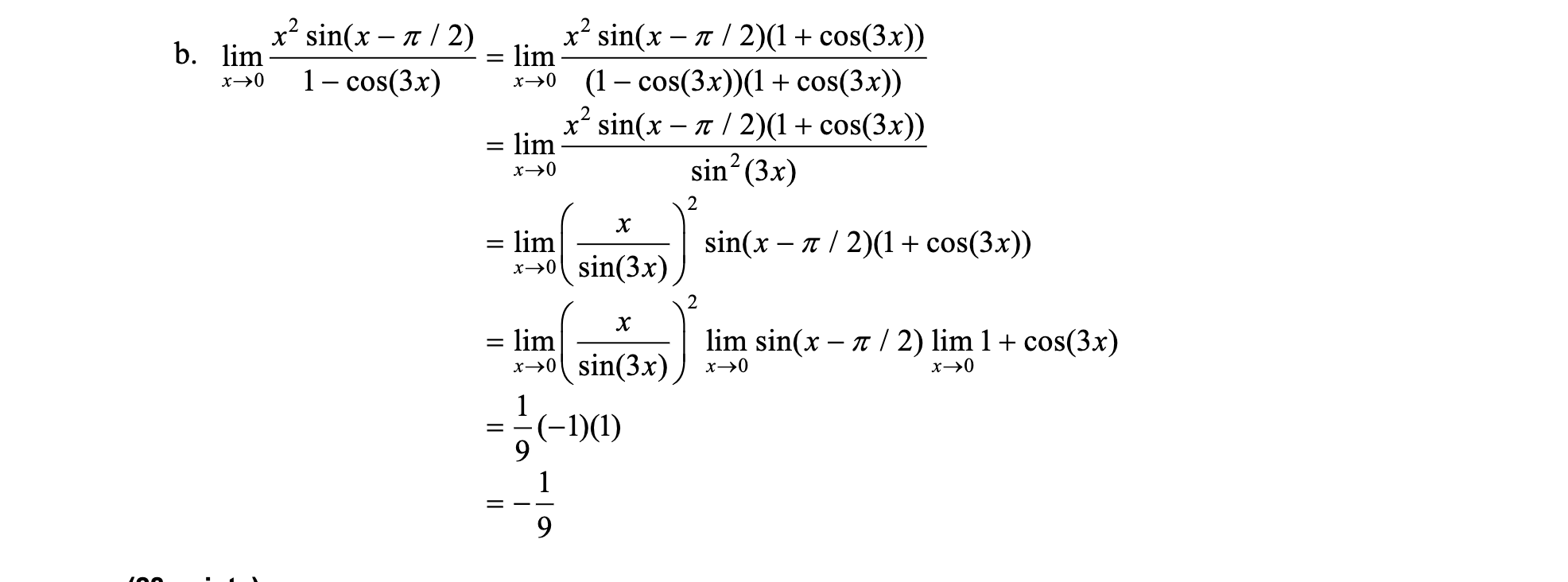
Question: x sin(x - 7 / 2)(1 + cos(3x)) b. lim x sin(x - 7 / 2) = lim x->0 1 - cos(3x) x->0 (1 -


x sin(x - 7 / 2)(1 + cos(3x)) b. lim x sin(x - 7 / 2) = lim x->0 1 - cos(3x) x->0 (1 - cos(3x))(1 + cos(3x)) x sin(x - 7 / 2)(1 + cos(3x)) = lim x->0 sin (3x) 2 X = lim sin(x - 7 / 2)(1 + cos(3x)) x->0 sin(3x) 2 X = lim lim sin(x - 7 / 2) lim 1 + cos(3x) sin(3x) x->0 x-+0 = (-1)(1) 9 =
Step by Step Solution
There are 3 Steps involved in it
Get step-by-step solutions from verified subject matter experts
