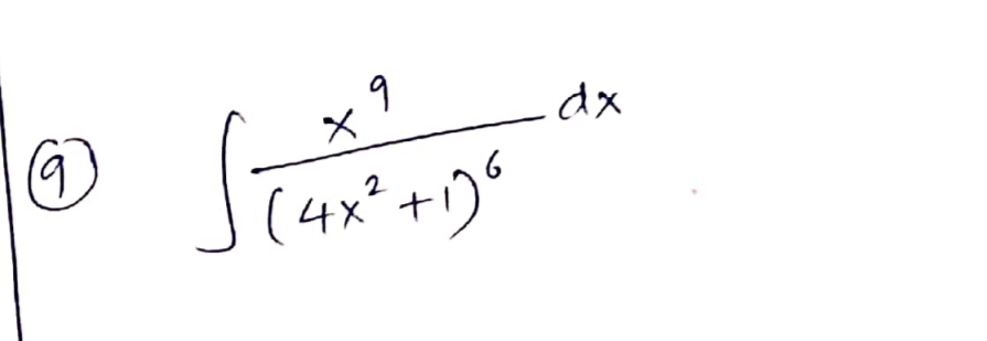
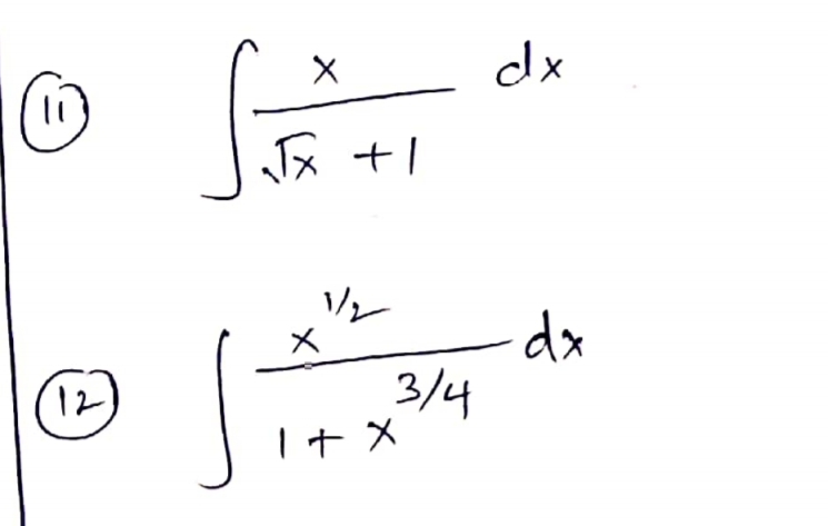
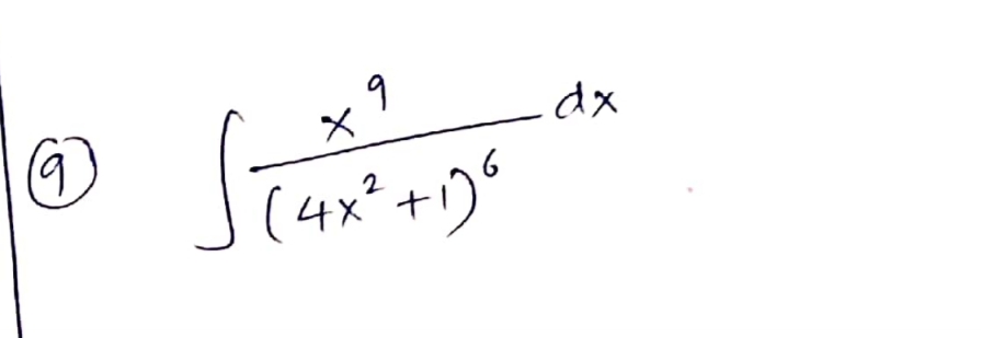
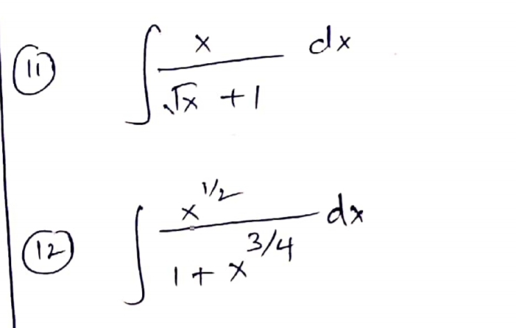
Question: x + Sinx dx 1 + (osXX dx 9 ( 4 x2 + 1) 6X x TX + 1 X ax 12 3/4 1+ x






x + Sinx dx 1 + (osXX dx 9 ( 4 x2 + 1) 6X x TX + 1 X ax 12 3/4 1+ x
Step by Step Solution
There are 3 Steps involved in it
1 Expert Approved Answer
Step: 1 Unlock
Question Has Been Solved by an Expert!
Get step-by-step solutions from verified subject matter experts
Step: 2 Unlock
Step: 3 Unlock
