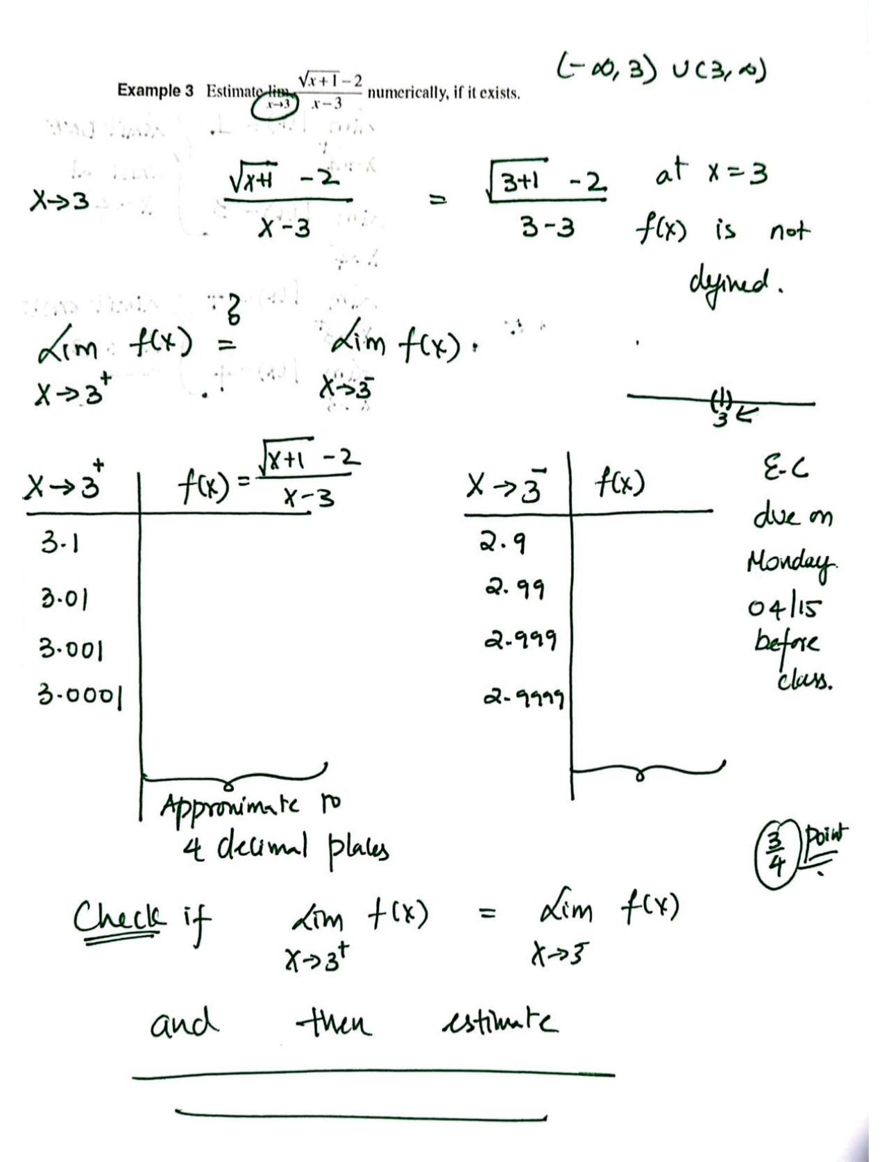
Question: X3 Example 3 Estimate li -3 x+1-2 X-3 (-10, 3) UC3,) numerically, if it exists. -2 X-3 3+1 -2 at x=3 3-3 f(x) is
X3 Example 3 Estimate li -3 x+1-2 X-3 (-10, 3) UC3,) numerically, if it exists. -2 X-3 3+1 -2 at x=3 3-3 f(x) is not Lim f(x) + X 3* 3.1 3.01 f(x) = Lim f(x). WX-3 1x+1 - X-3 3.001 3.0001 dyined. 2 - X 3 f(x) due m . Monday 2.99 04/15 2-999 before class. 2-9999 Approximate to 4 decimal places Check if Lim +(x) = Lim f(x) X>3+ X->3 and then estimate (m/+
Step by Step Solution
There are 3 Steps involved in it
Get step-by-step solutions from verified subject matter experts
