Question: y = (8x + tan(x)) dy Find dy = da Type sin(x) for sin(x) , cos(x) for cos(x), and so on. Use x*2 to square







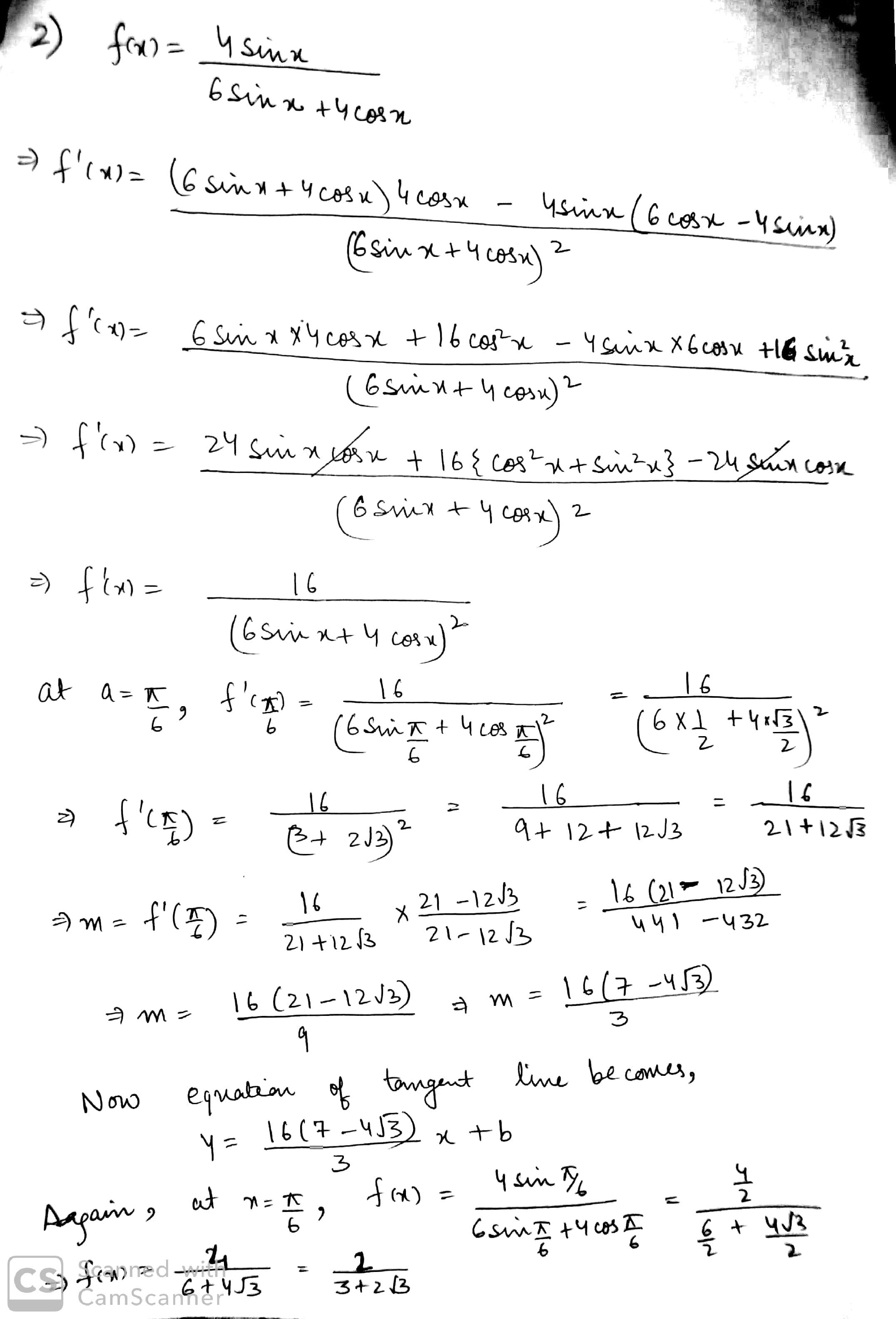
![Then HI] =| l The equation of the tangent ne to y](https://s3.amazonaws.com/si.experts.images/answers/2024/06/666529d5631e4_877666529d550281.jpg)



![Hz] at the point {0, 5] is given by y = m;](https://s3.amazonaws.com/si.experts.images/answers/2024/06/666529d668068_878666529d658bf6.jpg)
![+ b for 1712]. Jo" 2 ) fox ) = 4 sink](https://s3.amazonaws.com/si.experts.images/answers/2024/06/666529d6b10a6_878666529d6929ea.jpg)























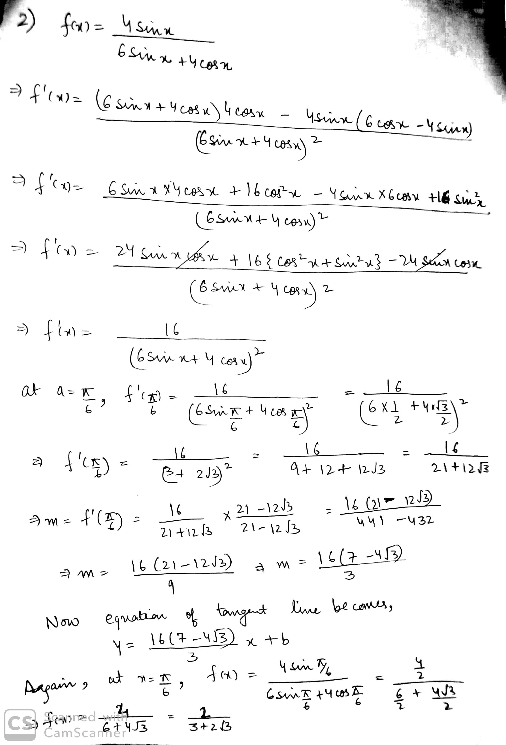
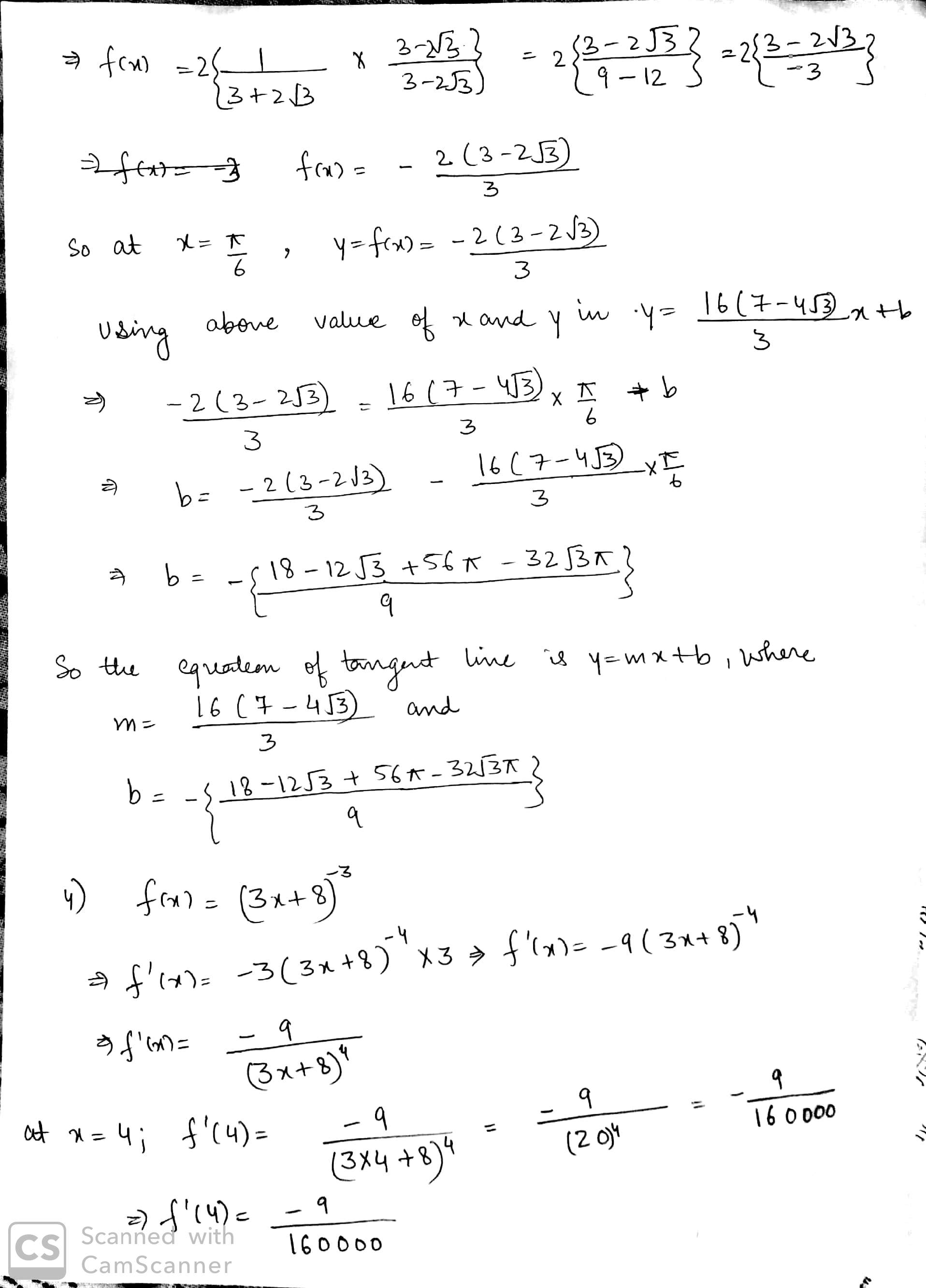
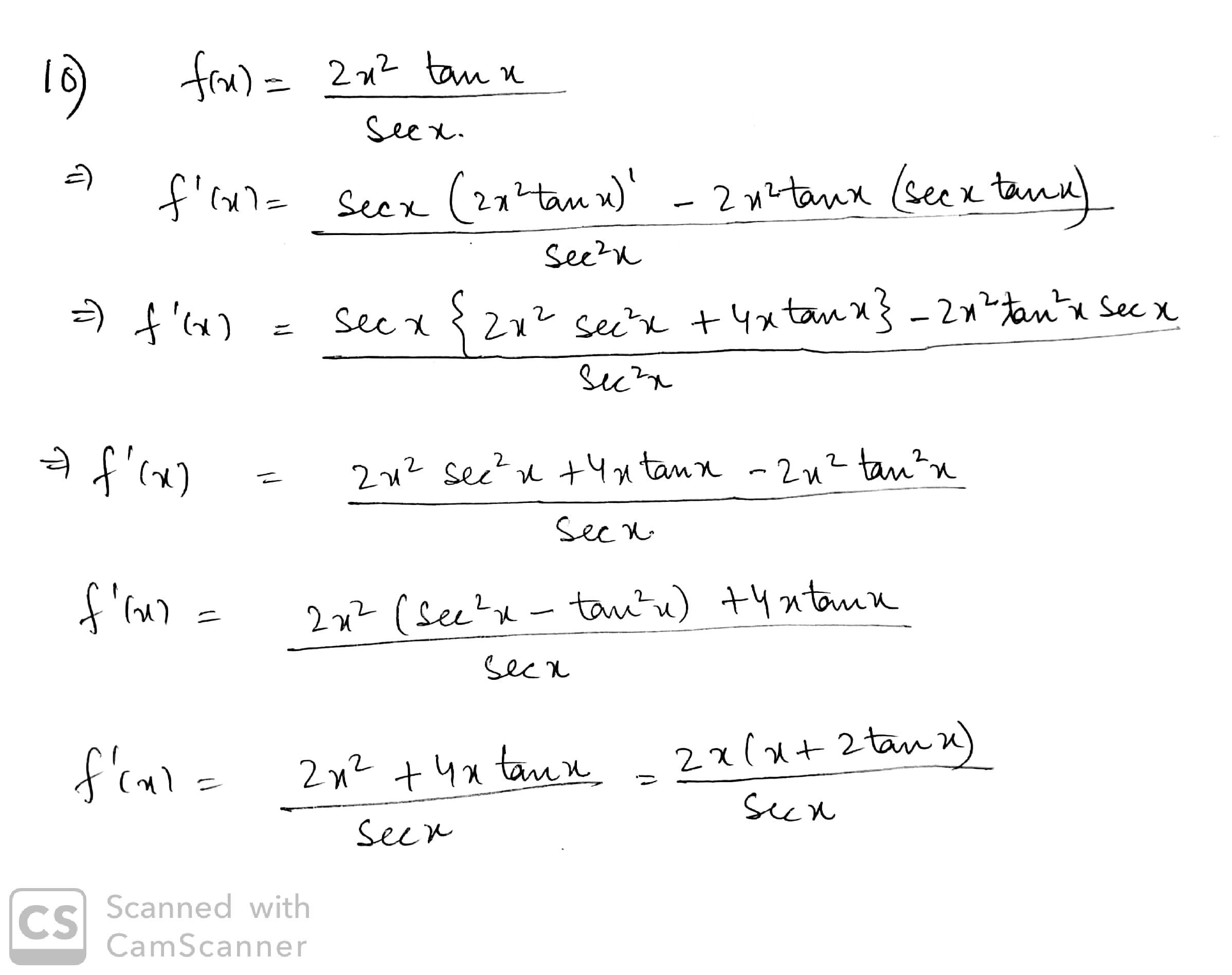
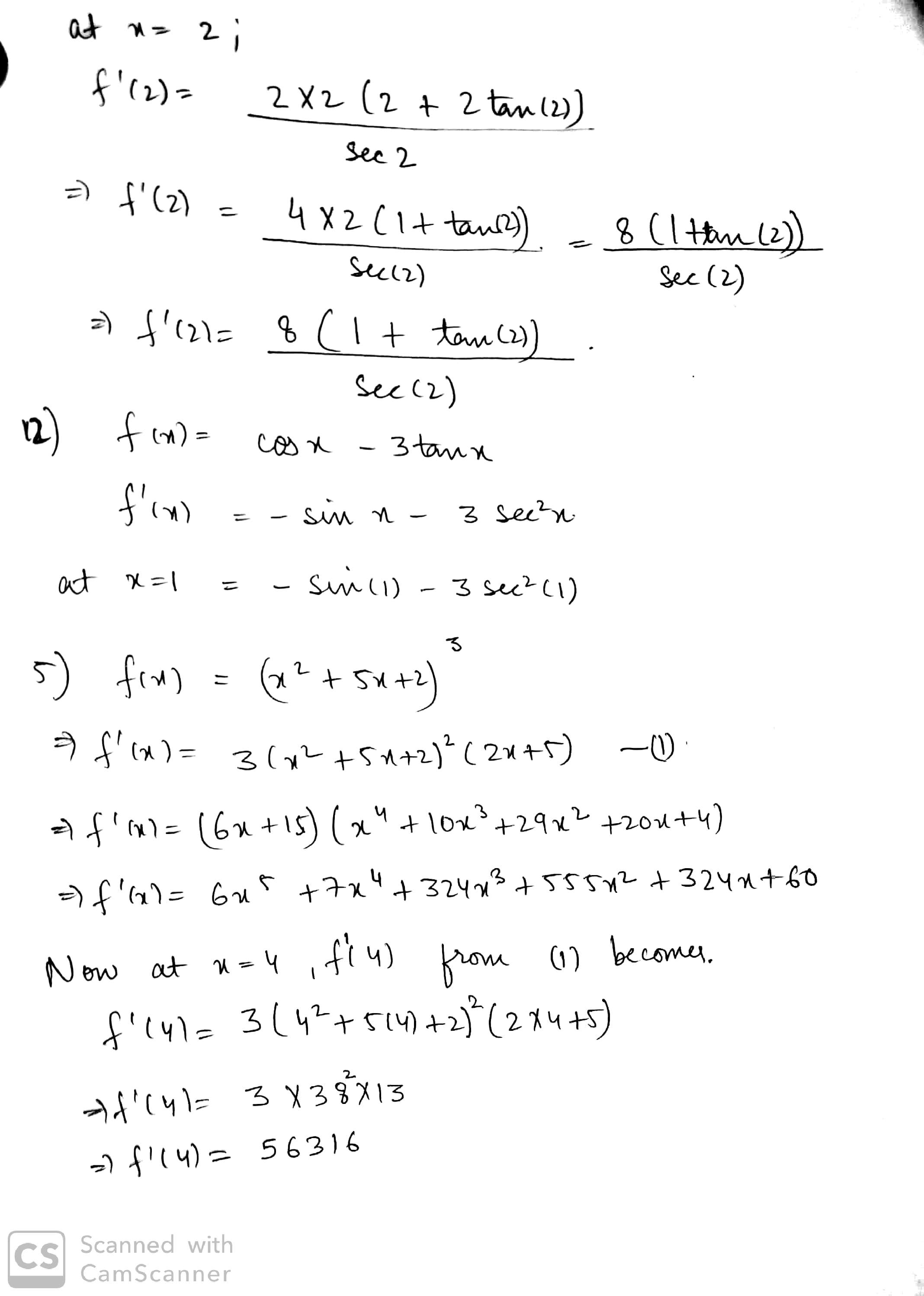
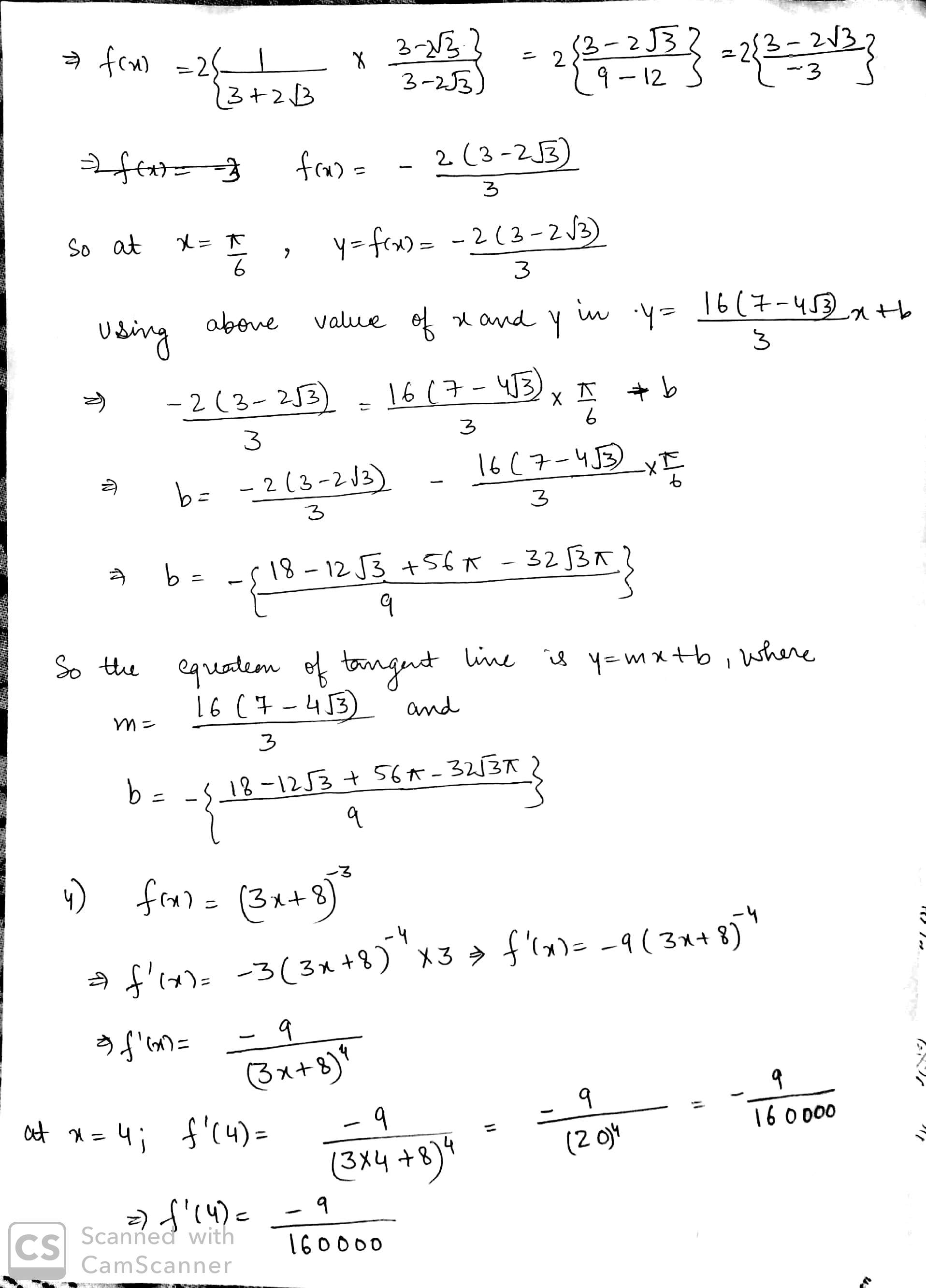
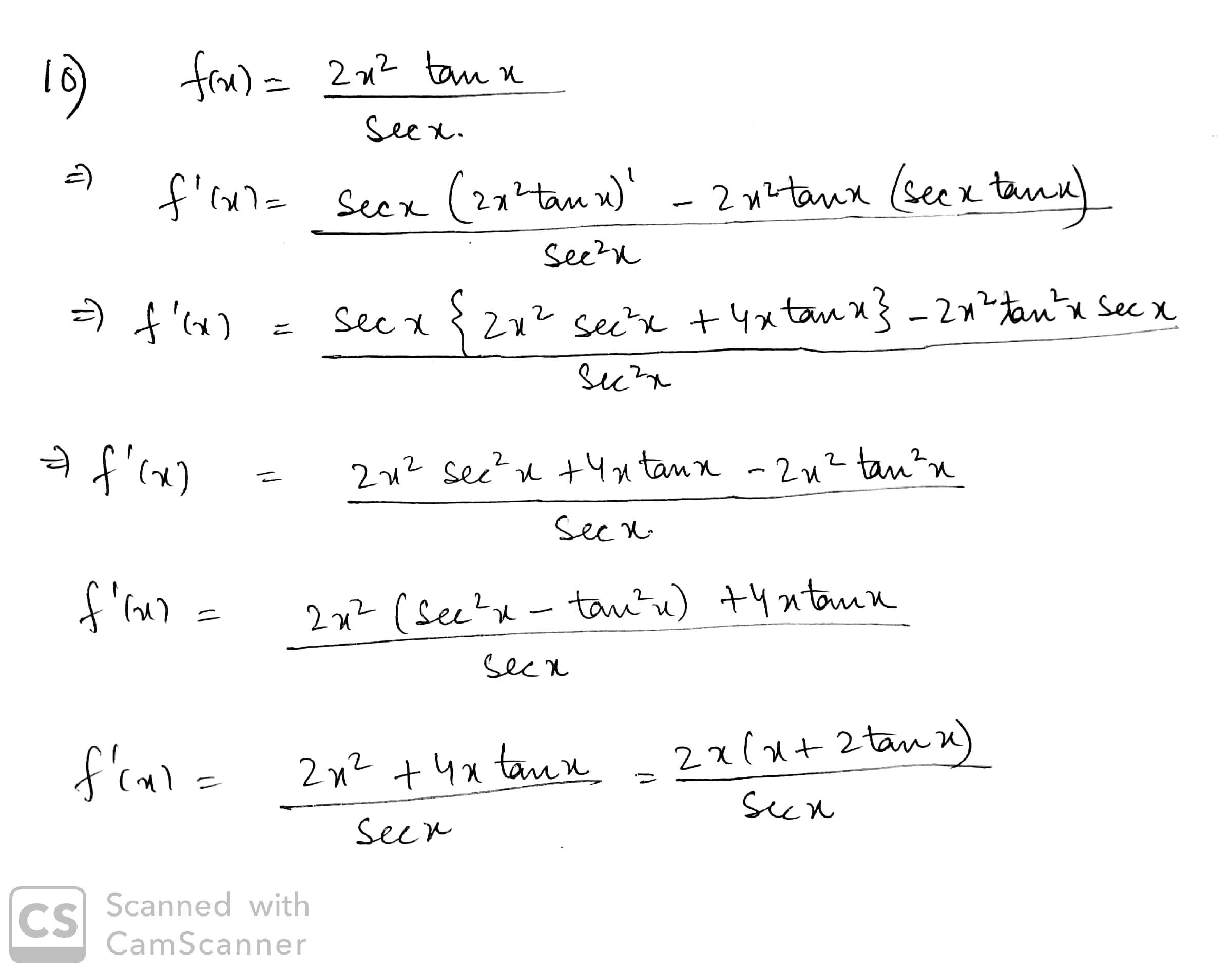
y = (8x + tan(x)) dy Find dy = da Type sin(x) for sin(x) , cos(x) for cos(x), and so on. Use x*2 to square x, x*3 to cube x, and so on. Use ( sin(x) )*2 to square sin(x). Do NOT simplify your answer.Use the quotient rule to find the derivative of 6ez + 8 4x5 - 7x7 Use ex for e". You do not need to expand out your answer. Be careful with parentheses!45in: L t = .. 9 HI) sm$+4c05$ Then HI] =| l The equation of the tangent ne to y 2 x} at a = E can be written in the form 3; = m: + b where Let y} = 101 + 6 1131'. Then the equation of the tangent line to the graph of Hz] at the point {0, 5] is given by y = m; + b for 1712]. Jo" 2 ) fox ) = 4 sink 6 Siu x + 4 cosm -) f'( x ) = (6 sinn + 4 cosx ) bcosx - 4sink (6 cosx - 4 sinn ) ( 6 sin x + 4 Cosx) 2 7 f'in- 6 sinxxycosx + 16cosx - 4 sinx X6cosu +16 six (6 Smut " cosu) 2 - f (x ) = 24 Sux gosu + 165 Cos' ut sinus - 24 shun cosa ( GSix + 4 copx ) 2 2 ) f ( x) = 16 ( 6 sin at 4 cosu ) at a = I f ( x ) = - 16 = 16 6 6 ( 6 Six + 4 cos *) 6 x 1 + 4 1 53 2 6 16 2 16 (3 + 2 13) 2 9+ 12+ 12 J3 21+1253 7 m = f( I ) = 16 X 21 - 1253 = 16 ( 21 = 1253 ) 21 + 12 5 3 21 - 12 53 4 4 1 - 432 7 M = 16 (21 - 12 53) 2 m = 16 ( 7 - 453 ) Now equation of tangent line becomes , y = 16(7-453 ) x + b Aagain , for ) = 4 sin 146 N/ S 6 SMT + 4 Cos A + 4 03 CS finned - 4 = 2 CamScans + 453 3+2 137 fcu = 2 5 1 x 3-23. 3 (3+ 2 1 3 3- 253 = 2 1 3 - 253 3 = 213- 2137 19- 12 5 - 3 2 foxx = 3 fox) = - 2 (3 - 253 ) 3 So at X = 1 , y = f ( x ) = - 2 (3- 253) 3 Using above value of " and y in 1= 16 ( 7- 453 ) ,+6 3 = ) - 2 (3 - 213 ) - 16(7 - 413 + b 3 3 b= - 2(3-2 53 ) - 16 (7-453) 3 3 b = = ( 18 - 12 53 + 56 7 - 32 53 x ] 9 So the equation of tangent line is y=mixth , where M= 16 (7 - 453) and 3 b = - 518- 1253+ 56 x- 32537 2 4 ) fix1 = ( 3 * + 8 ) - 4 7 f ' ly ) = - 3 ( 3 x + 8 ) x 3 + f' ( x ) = - 9 ( 3x+ 8 ) - 9 ( 3 x + 8 ) 4 at x = 4 ; f ( 4 ) = 9 9 = (3 x 4 + 8 ) 4 (20 )4 160 000 - ) f' 14 ) = - 9 CS Scanned with CamScanner 160 0 00fru ) = 2 x2 tamu Seex. 2 f'lul = seek ( 2x2tanx) - 2 xtank ( seex tank) See zu 7 f'lx) = Secx ( 2x2 sec x + yx tanx} - 2x2 tank seex a f' (x ) = 202 seen tyntank - 2x2 tanin Seen. 2 x2 ( seezx - tanu) tyntank seen f cul = 2x2 +4x tank - 2 x ( x+ 2 tanx) Seen Seen CS Scanned with CamScannerat M = 2 ; f' ( 2 ) = 2x2 ( 2 + 2 tan ( 2) ) Sec 2 7 f'( 2 ) = 4 x 2 ( 1+ tan? ) 8 ( 1 Ham ( 2 ) ) Sec( 2) Sec (2) = ) f'121 = 8 ( 1 + tan ( 2 ) See ( 2 ) 12 ) f (m ) = coox - 3 tann f'in) = - sinn - 3 seen at * = 1 = - Sell) - 3 sec ? ( 1 ) 3 5) fins = ( *2 + 5x + 2 ) 7 f' (x ) = 3 ( x2 + 51+ 2 ) 2(24+5 ) - 0 = f'in) = (62 + 15) ( x 4 + 10x3 + 29 x2 +2out4) = ] f'lx ] = 60 5 + 7 x 4+ 324x3 + 55 5x2+ 324n+60 Now at u= 4 , flu) from (1) becomes . f'ly ) = 3 (42 + 5 14 ) + 2 )" ( 2 x 4 +5 ) a f'( 4 1 = 3 x 38 x 13 - 7 f ' ( 4 ) = 56316 CS Scanned with CamScanner
Step by Step Solution
There are 3 Steps involved in it
Get step-by-step solutions from verified subject matter experts
