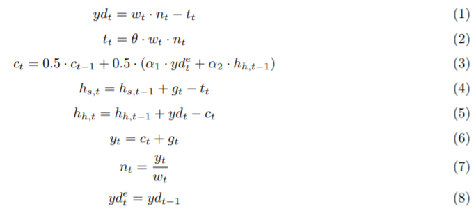
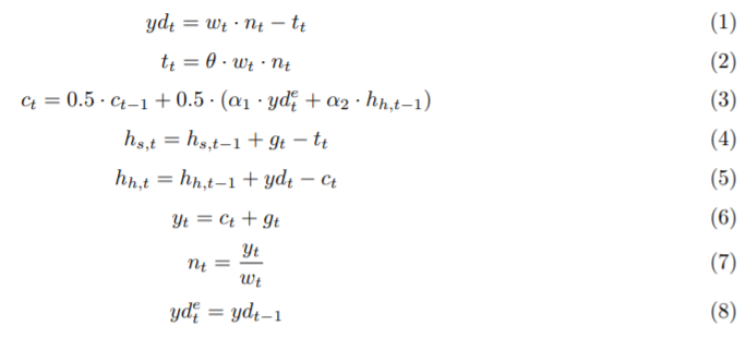
Question: ydt = Wt . nt - tt tt = 0 . Wt . nt Ct = 0.5 . ct-1 + 0.5 . (o . yd;


ydt = Wt . nt - tt tt = 0 . Wt . nt Ct = 0.5 . ct-1 + 0.5 . (o . yd; + 02 . hh,t-1) hs,t = hs,t-1 + gt - tt hh.t = hn,t-1 + ydt - ct yt = Ct + 9t yt Wt yd; = ydt-1
Step by Step Solution
There are 3 Steps involved in it
Get step-by-step solutions from verified subject matter experts
