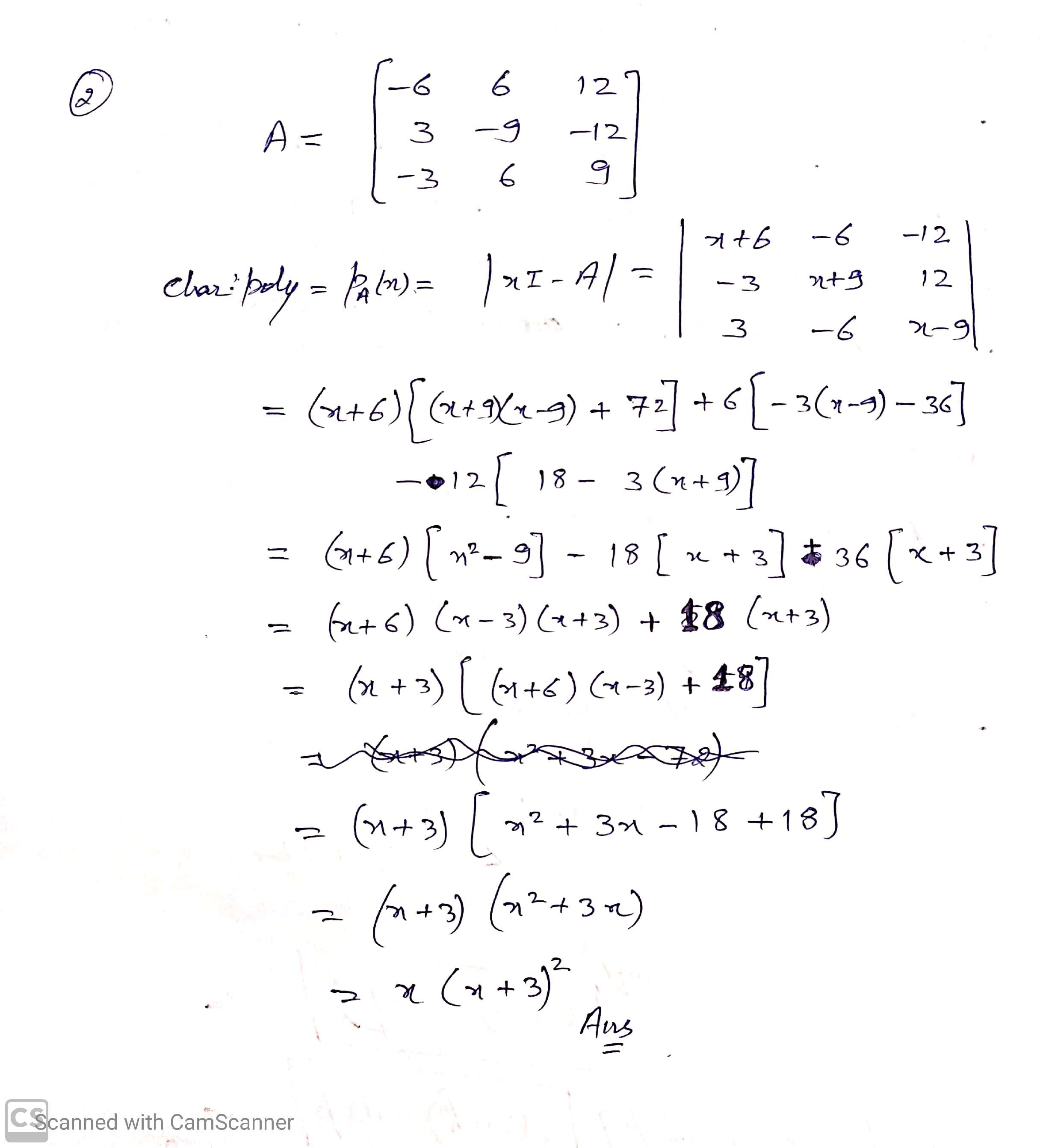
Question: You are given the information that this matrix 729 39 769 A : 741 41 781 11 1 11 has the eigenvectors 1 0V1: 2




Step by Step Solution
There are 3 Steps involved in it
Get step-by-step solutions from verified subject matter experts
