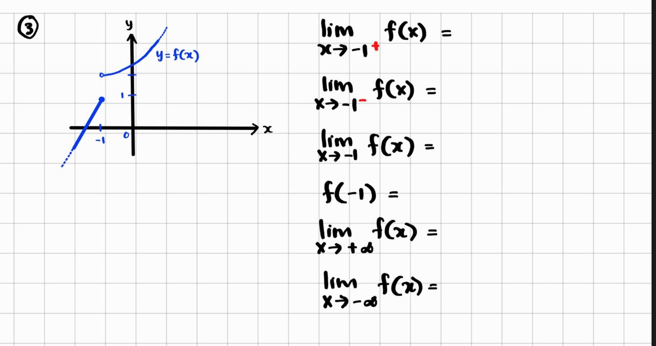
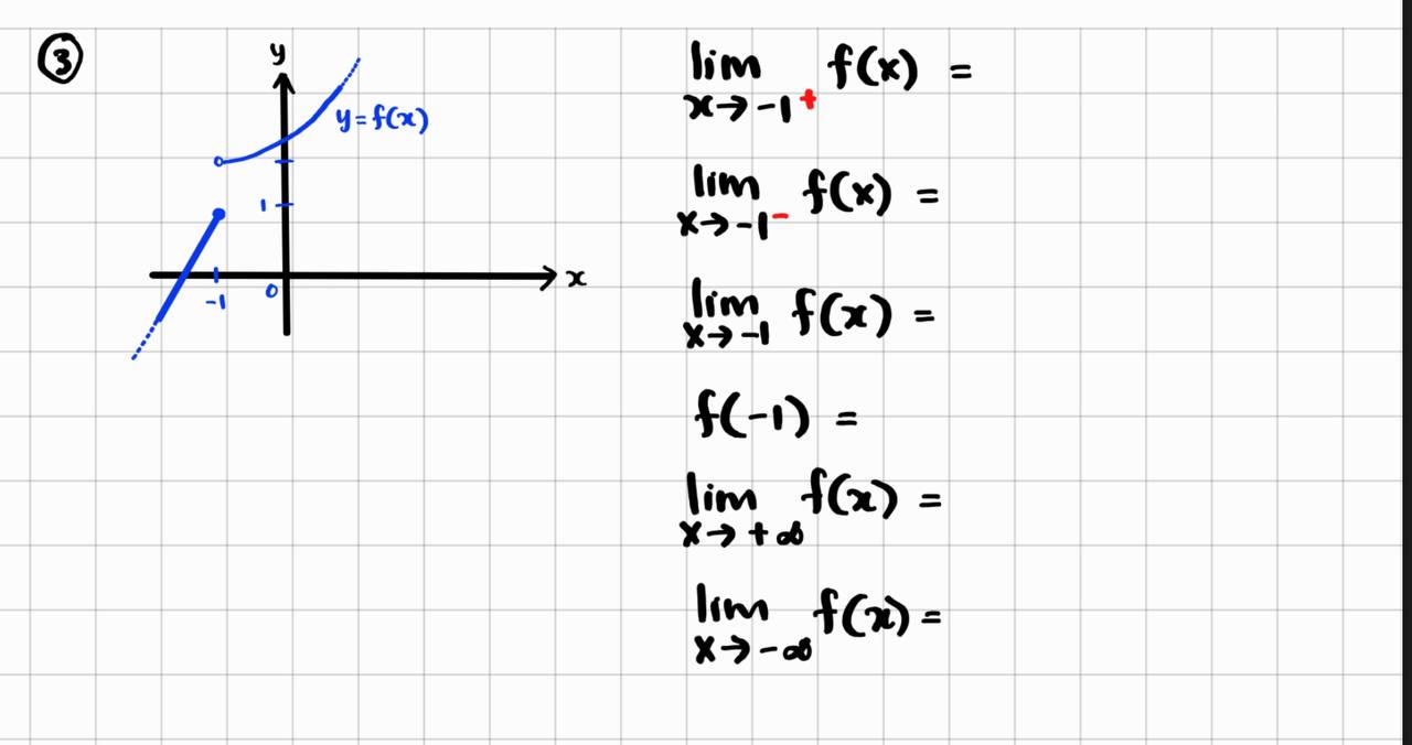
Question: Z Determine the left limit, light limit, and f(a) : f ( x ) lim f ( x ) = 21 x-a I lim .






Z Determine the left limit, light limit, and f(a) : f ( x ) lim f ( x ) = 21 x-a I lim . f( x ) = x - at 0 a f(a) = f ( x ) lim f (x ) = x-a 2 - lim x z at f ( x ) = a f(a) =Question Chapter 1 Limits and Continuity 1 Estimate the limit ( if exist ) at 21= 0, 1,2 y= g(x) lim g(x) = 4 XSO 3 lim g (x) = X- 1 O lim q(x ) = X -2 W 0- y =h (x ) lim h (x ) = X 0 2 lim h (x ) = X- 1 lim h ( x ) = X 2
Step by Step Solution
There are 3 Steps involved in it
Get step-by-step solutions from verified subject matter experts
