Question: Find CFGs for these languages: (i) All words of the form (ii) All words of the form (iii) All words of the form (iv) All
Find CFGs for these languages:
(i) All words of the form

(ii) All words of the form
![]()
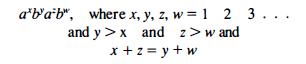
(iii) All words of the form

(iv) All words of the form

(v) What happens if we throw away the restrictions y > x and z > w?
a'b'a, where x, y, z = 1 2 3 ... and x + z = y = {abba aabbba abbbaa aabbbbaa . . .)
Step by Step Solution
3.35 Rating (167 Votes )
There are 3 Steps involved in it
i aba aabb ii aba aabbb iii aba aabbbb i... View full answer
Get step-by-step solutions from verified subject matter experts
