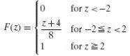
Question: The distribution function of the mixed random variable Z is given by Find P(Z = - 2), P(Z = 2), P(- 2 < Z <
The distribution function of the mixed random variable Z is given by

Find P(Z = - 2), P(Z = 2), P(- 2
0 for z
Step by Step Solution
3.43 Rating (166 Votes )
There are 3 Steps involved in it
PZ 2 2 4 8 14 ... View full answer
Get step-by-step solutions from verified subject matter experts
Document Format (1 attachment)
583-S-J-P-D (657).docx
120 KBs Word File
