New Semester
Started
Get
50% OFF
Study Help!
--h --m --s
Claim Now
Question Answers
Textbooks
Find textbooks, questions and answers
Oops, something went wrong!
Change your search query and then try again
S
Books
FREE
Study Help
Expert Questions
Accounting
General Management
Mathematics
Finance
Organizational Behaviour
Law
Physics
Operating System
Management Leadership
Sociology
Programming
Marketing
Database
Computer Network
Economics
Textbooks Solutions
Accounting
Managerial Accounting
Management Leadership
Cost Accounting
Statistics
Business Law
Corporate Finance
Finance
Economics
Auditing
Tutors
Online Tutors
Find a Tutor
Hire a Tutor
Become a Tutor
AI Tutor
AI Study Planner
NEW
Sell Books
Search
Search
Sign In
Register
study help
mathematics
college algebra graphs and models
College Algebra 7th Edition Robert F Blitzer - Solutions
The group should select real-world situations where the Fundamental Counting Principle can be applied. These could involve the number of possible student ID numbers on your campus, the number of possible phone numbers in your community, the number of meal options at a local restaurant, the number
In Exercises 99–100, use a graphing utility to graph the function. Determine the horizontal asymptote for the graph of f and discuss its relationship to the sum of the given series.Function Series f(x): [¹-(9)] 1 1 1 - 3 ² + ² ( ² ) + ( ² ) ² + ( ² ) ² + - +2 3
How do you determine if an infinite geometric series has a sum? Explain how to find the sum of such an infinite geometric series.
In Exercises 97–100, determine whether each statement is true or false. If the statement is false, make the necessary change(s) to produce a true statement. 2 Σ (−1)2 = 0 i=1
In Exercises 93–96, determine whether each statement makes sense or does not make sense, and explain your reasoning.By writing a1, a2, a3, a4, . . . , an, . . . , I can see that the range of a sequence is the set of positive integers.
In Exercises 99–100, use a graphing utility to graph the function. Determine the horizontal asymptote for the graph of f and discuss its relationship to the sum of the given series.Function Series f(x) = 4[1 - (0.6)¹] 1 - 0.6 4 + 4(0.6) + 4(0.6)² + 4(0.6)³ +
Would you rather have $10,000,000 and a brand new BMW, or 1⊄ today, 2⊄ tomorrow, 4⊄ on day 3, 8⊄ on day 4, 16⊄ on day 5, and so on, for 30 days? Explain.
In Exercises 97–100, determine whether each statement is true or false. If the statement is false, make the necessary change(s) to produce a true statement. 2 Sabi 1=1 = 2 2 ΣαΣο i=1 Μο i=1
Exercises 98–100 will help you prepare for the material covered in the next section. The figure shows that when a die is rolled, there are six equally likely outcomes: 1, 2, 3, 4, 5, or 6. Use this information to solve each exercise.What fraction of the outcomes is even or greater than 3?
For the first 30 days of a flu outbreak, the number of students on your campus who become ill is increasing. Which is worse: The number of students with the flu is increasing arithmetically or is increasing geometrically? Explain your answer.
In Exercises 97–100, determine whether each statement is true or false. If the statement is false, make the necessary change(s) to produce a true statement.The Fibonacci sequence 1, 1, 2, 3, 5, 8, 13, 21, 34, 55, 89, 144, . . . can be defined recursively using a0 = 1, a1 = 1; an = an-2 + an-1,
Write the first five terms of the sequence whose first term is 9 and whose general term is an an-1 2 3an-1+5 if an-1 is even if an-1 is odd
Use the graph of y = f(x) to graph y = f(x - 2) - 1. ن -5-4-3-2-1 IN y = f(x) 2 3 4 5 ITI H B
In Exercises 101–104, determine whether each statement makes sense or does not make sense, and explain your reasoning.There’s no end to the number of geometric sequences that I can generate whose first term is 5 if I pick nonzero numbers r and multiply 5 by each value of r repeatedly.
In Exercises 101–104, determine whether each statement makes sense or does not make sense, and explain your reasoning.I’ve noticed that the big difference between arithmetic and geometric sequences is that arithmetic sequences are based on addition and geometric sequences are based on
Enough curiosities involving the Fibonacci sequence exist to warrant a flourishing Fibonacci Association, which publishes a quarterly journal. Do some research on the Fibonacci sequence by consulting the Internet or the research department of your library, and find one property that interests you.
In Exercises 101–104, determine whether each statement makes sense or does not make sense, and explain your reasoning.I modeled California’s population growth with a geometric sequence, so my model is an exponential function whose domain is the set of natural numbers.
Solve: x4 - 6x3 + 4x2 + 15x + 4 = 0.
In Exercises 101–104, determine whether each statement makes sense or does not make sense, and explain your reasoning.I used a formula to find the sum of the infinite geometric series 3 + 1 + 1/3 + 1/9 + ....... and then checked my answer by actually adding all the terms.
In Exercises 105–108, determine whether each statement is true or false. If the statement is false, make the necessary change(s) to produce a true statement.The sequence 2, 6, 24, 120,......... is an example of a geometric sequence.
Exercises 106–108 will help you prepare for the material covered in the next section.Consider the sequence 8, 3, -2, -7, -12, . . . . Find a2 - a1, a3 - a2, a4 - a3, and a5 - a4. What do you observe?
In Exercises 105–108, determine whether each statement is true or false. If the statement is false, make the necessary change(s) to produce a true statement.10 - 5 + 5/2 - 5/4 +........ = 10/1 - 1/2
In Exercises 105–108, determine whether each statement is true or false. If the statement is false, make the necessary change(s) to produce a true statement.The sum of the geometric series 1/2 + 1/4 + 1/8 + ....... + 1/512 can only be estimated without knowing precisely which terms occur between
Exercises 106–108 will help you prepare for the material covered in the next section.Consider the sequence whose nth term is an = 4n - 3. Find a2 - a1, a3 - a2, a4 - a3, and a5 - a4. What do you observe?
In Exercises 105–108, determine whether each statement is true or false. If the statement is false, make the necessary change(s) to produce a true statement.If the nth term of a geometric sequence is an = 3(0.5)n-1, the common ratio is 1/2.
Exercises 106–108 will help you prepare for the material covered in the next section.Use the formula an = 4 + (n - 1)(-7) to find the eighth term of the sequence 4, -3, -10, . . . .
In a pest-eradication program, sterilized male flies are released into the general population each day. Ninety percent of those flies will survive a given day. How many flies should be released each day if the long-range goal of the program is to keep 20,000 sterilized flies in the population?
You are now 25 years old and would like to retire at age 55 with a retirement fund of $1,000,000. How much should you deposit at the end of each month for the next 30 years in an IRA paying 10% annual interest compounded monthly to achieve your goal? Round up to the nearest dollar.
Suppose that a survey of 350 college students is taken. Each student is asked the type of college attended (public or private) and the family’s income level (low, middle, high). Use the data in the table to solve Exercises 83–88. Express probabilities as simplified fractions.Find the
The probability of a flood in any given year in a region prone to floods is 0.2.a. What is the probability of a flood two years in a row?b. What is the probability of a flood for three consecutive years?c. What is the probability of no flooding for four consecutive years?
Use the capability of a graphing utility to calculate the sum of a sequence to verify any three of your answers to Exercises 31–36.31.32.33. Mo [3² r = 3, a₁ = 3 Sg 3(1-38) 3(-6560) 1-3 -2 = 9840
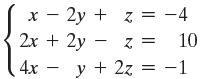
113. Solve using matrices. Use Gaussian elimination with back-substitution or Gauss-Jordan elimination. x - 2y + z = -4 2x + 2y 10 4x I z = y + 2z : -1
Exercises 115–117 will help you prepare for the material covered in the next section.In Exercises 115–116, show thatis true for the given value of n. n = 3: Show that 1 + 2 + 3 = 3(3 + 1)/2. 1+ 2+ 3+ + n = .. n(n + 1) 2
Exercises 115–117 will help you prepare for the material covered in the next section.In Exercises 115–116, show thatis true for the given value of n. n = 5: Show that 1 + 2 + 3 + 4 + 5 = 5(5 + 1)2. 1+ 2+ 3+ + n = .. n(n + 1) 2
In Exercises 1–25, simplify the given expression or perform the indicated operation (and simplify, if possible), whichever is appropriate. (3x + 5)(4x - 7)
In Exercises 1–6, find all numbers that must be excluded from the domain of each rational expression. 7 x - 3
Evaluate each expression in Exercises 1–12, or indicate that the root is not a real number. √36
Exercises 115–117 will help you prepare for the material covered in the next section.Simplify: k(k + 1)(2k + 1)/6 + (k + 1)2.
In Exercises 1–18, simplify the given expression or perform the indicated operation (and simplify, if possible), whichever is appropriate.5(2x2 - 6x) - (4x2 - 3x)
In Exercises 1–2, evaluate each algebraic expression for the given value or values of the variable(s).3 + 6(x - 2)3 for x = 4
In Exercises 1–25, simplify the given expression or perform the indicated operation (and simplify, if possible), whichever is appropriate. (3x + 5) (4x - 7)
Fill in each blank so that the resulting statement is true.A rational expression is the quotient of two ________.
In Exercises 1–6, find all numbers that must be excluded from the domain of each rational expression. 13 x + 9
Evaluate each expression in Exercises 1–12, or indicate that the root is not a real number. √25
In Exercises 1–4, is the algebraic expression a polynomial? If it is, write the polynomial in standard form.2x + 3x2 - 5
Evaluate each exponential expression in Exercises 1–22.52 . 2
In Exercises 1–16, evaluate each algebraic expression for the given value or values of the variable(s).7 + 5x, for x = 10
Fill in each blank so that the resulting statement is true.The product rule for exponents states that bm . bn =_______- . When multiplying exponential expressions with the same base,______ the exponents.
Evaluate each exponential expression in Exercises 1–22. 6².2
In Exercises 1–18, simplify the given expression or perform the indicated operation (and simplify, if possible), whichever is appropriate. {1, 2,5} {5, a}
In Exercises 1–10, factor out the greatest common factor.18x + 27
In Exercises 1–18, simplify the given expression or perform the indicated operation (and simplify, if possible), whichever is appropriate.7 + 2[3(x + 1) - 2(3x - 1)]
In Exercises 1–2, evaluate each algebraic expression for the given value or values of the variable(s).x2 - 5(x - y) for x = 6 and y = 2
Fill in each blank so that the resulting statement is true.A polynomial is a single term or the sum of two or more terms containing variables with exponents that are_________ numbers.
Fill in each blank so that the resulting statement is true. The symbol √ is used to denote the nonnegative, or_______ , square root of a number.
Fill in each blank so that the resulting statement is true.The set of real numbers for which a rational expression is defined is the ________ of the expression. We must exclude all numbers from this set that make the denominator of the rational expression _________.
In Exercises 1–25, simplify the given expression or perform the indicated operation (and simplify, if possible), whichever is appropriate. 9/6+9
Evaluate each expression in Exercises 1–12, or indicate that the root is not a real number. -√/36
In Exercises 1–4, is the algebraic expression a polynomial? If it is, write the polynomial in standard form. 2x + 3 X
In Exercises 1–6, find all numbers that must be excluded from the domain of each rational expression. x + 5 X x² - 25
In Exercises 1–4, is the algebraic expression a polynomial? If it is, write the polynomial in standard form.2x + 3x-1 - 5
Evaluate each exponential expression in Exercises 1–22. (-2)6
In Exercises 1–16, evaluate each algebraic expression for the given value or values of the variable(s).8 + 6x, for x = 5
Fill in each blank so that the resulting statement is true.The quotient rule for exponents states that bm/bn =______ , b ≠ 0. When dividing exponential expressions with the same nonzero base,_______ the exponents.
In Exercises 1–10, factor out the greatest common factor.16x - 24
In Exercises 1–25, simplify the given expression or perform the indicated operation (and simplify, if possible), whichever is appropriate. 3√12 - √27
If n is a counting number, bn, read_______ , indicates that there are n factors of b. The number b is called the_______ and the number n is called the_______ .
You are riding along an expressway traveling x miles per hour. The formula S = 0.015x2 + x + 10 models the recommended safe distance, S, in feet, between your car and other cars on the expressway. What is the recommended safe distance when your speed is 60 miles per hour?
Fill in each blank so that the resulting statement is true.It is customary to write the terms of a polynomial in the order of descending powers of the variable. This is called the________ form of a polynomial.
Fill in each blank so that the resulting statement is true.4. ________ . ХХ 53
Fill in each blank so that the resulting statement is true.√64 = 8 because _____ = 64.
In Exercises 1–18, simplify the given expression or perform the indicated operation (and simplify, if possible), whichever is appropriate. {1, 2, 5) U (5, a}
Fill in each blank so that the resulting statement is true.We simplify a rational expression by_________ the numerator and the denominator completely. Then we divide the numerator and the denominator by any _________.
In Exercises 1–10, factor out the greatest common factor.3x2 + 6x
In Exercises 1–16, evaluate each algebraic expression for the given value or values of the variable(s).6x - y, for x = 3 and y = 8
In Exercises 1–6, find all numbers that must be excluded from the domain of each rational expression. x + 7 X x² - 49
Fill in each blank so that the resulting statement is true.If b ≠ 0, then b0 =______ .
An equation that expresses a relationship between two or more variables, such as H = 9/10(220 - a), is called a/an________ . The process of finding such equations to describe real-world phenomena is called mathematical________ . Such equations, together with the meaning assigned to the variables,
Fill in each blank so that the resulting statement is true.A simplified polynomial that has exactly one term is called a/an __________.
Fill in each blank so that the resulting statement is true.√a2 = ______ .
In Exercises 4–7, let A = {a, b, c}, B = {a, c, d, e}, and C = {a, d, f, g}. Find the indicated set.A ∩ B
In Exercises 1–4, is the algebraic expression a polynomial? If it is, write the polynomial in standard form.x2 - x3 + x4 - 5
Group members serve as a financial team analyzing the three options given to the professional baseball player described in the chapter opener on page 743. As a group, determine which option provides the most amount of money over the six-year contract and which provides the least. Describe one
Find the dimensions of a rectangle whose perimeter is 22 feet and whose area is 24 square feet.
Fill in each blank so that the resulting statement is true.For n × n matrices A and B, if AB = In and BA = In, then B is called the__________ of A.
Because (x + 3)2 consists of two factors of x + 3, I set up the following partial fraction decomposition: 5x+2 (x + 3)2 А x + 3 + x B +3
Verify your solutions to any five exercises from Exercises 1–42 by using a graphing utility to graph the two equations in the system in the same viewing rectangle. Then use the intersection feature to verify the solutions.Exercises 1–6,solve each system by the substitution method. 1. x + y = 2
In Exercises 69–72, determine whether each statement makes sense or does not make sense, and explain your reasoning.I think that the nonlinear system consisting of x2 + y2 = 36 and y = (x - 2)2 - 3 is easier to solve graphically than by using the substitution method or the addition method.
Use a system of linear equations to solve Exercises 73–84.The current generation of college students grew up playing interactive online games, and many continue to play in college. The bar graph shows the percentage of U.S. college students playing online games, by gender.A total of 41% of
Without graphing, in Exercises 73–76, determine if each system has no solution or infinitely many solutions. 3x + y < 9 3x + y > 9
Use a system of linear equations to solve Exercises 73–84.A number of studies have emphasized the importance of sleep for students’ success in their academic performance. The bar graph shows the actual sleep hours and the sleep hours to function best for U.S. college students.A total of 45% of
The figure shows the healthy weight region for various heights for people ages 35 and older.If x represents height, in inches, and y represents weight, in pounds, the healthy weight region can be modeled by the following system of linear inequalities:Use this information to solve Exercises
Without graphing, in Exercises 73–76, determine if each system has no solution or infinitely many solutions. f6x - y = 24 6x - y > 24
Without graphing, in Exercises 73–76, determine if each system has no solution or infinitely many solutions. [(x + 4)² + (y - 3)² ≤ 9 [(x + 4)² + (y - 3)² ≥ 9
The graphs of solution sets of systems of inequalities involve finding the intersection of the solution sets of two or more inequalities. By contrast, in Exercises 71–72, you will be graphing the union of the solution sets of two inequalities.Graph the union of x - y ≥ -1 and 5x - 2y ≤ 10.
The figure shows the healthy weight region for various heights for people ages 35 and older.If x represents height, in inches, and y represents weight, in pounds, the healthy weight region can be modeled by the following system of linear inequalities:Use this information to solve Exercises
Without graphing, in Exercises 73–76, determine if each system has no solution or infinitely many solutions. [(x − 4)² + (y + 3)² ≤ [(x − 4)² + (y + 3)² =
The figure shows the healthy weight region for various heights for people ages 35 and older.If x represents height, in inches, and y represents weight, in pounds, the healthy weight region can be modeled by the following system of linear inequalities:Use this information to solve Exercises
The points of intersection of the graphs of xy = 20 and x2 + y2 = 41 are joined to form a rectangle. Find the area of the rectangle.
Solve the systems in Exercises 79–80. logy x = 3 (log, (4x) = 5
Showing 2600 - 2700
of 13634
First
20
21
22
23
24
25
26
27
28
29
30
31
32
33
34
Last
Step by Step Answers