New Semester
Started
Get
50% OFF
Study Help!
--h --m --s
Claim Now
Question Answers
Textbooks
Find textbooks, questions and answers
Oops, something went wrong!
Change your search query and then try again
S
Books
FREE
Study Help
Expert Questions
Accounting
General Management
Mathematics
Finance
Organizational Behaviour
Law
Physics
Operating System
Management Leadership
Sociology
Programming
Marketing
Database
Computer Network
Economics
Textbooks Solutions
Accounting
Managerial Accounting
Management Leadership
Cost Accounting
Statistics
Business Law
Corporate Finance
Finance
Economics
Auditing
Tutors
Online Tutors
Find a Tutor
Hire a Tutor
Become a Tutor
AI Tutor
AI Study Planner
NEW
Sell Books
Search
Search
Sign In
Register
study help
mathematics
college algebra graphs and models
College Algebra 7th Edition Robert F Blitzer - Solutions
Without going into too much detail, describe how to solve a linear system in three variables using Cramer’s Rule.
Fill in each blank so that the resulting statement is true.True or false: Matrix multiplication is commutative._______
In Exercises 1–12, find the products AB and BA to determine whether B is the multiplicative inverse of A. A= 0 2 3 3 2 25 1 B -3.5 -1 0.5 0 0 4.5 2-3
In Exercises 6–10, perform the indicated matrix operations or solve the matrix equation for X given that A, B, and C are defined as follows. If an operation is not defined, state the reason.2X - 3C = B A = 02 -1 3 10 B = [ 4 -6 c=[+] C = 0 1
In Exercises 9–16, find the following matrices:a. A + Bb. A - Bc. -4Ad. 3A + 2B. A -2 37 01 Β 8 1 5 4
Evaluate each determinant in Exercises 1–10. mmml+ तालतात
Explain how to find the multiplicative inverse for a 3 × 3 invertible matrix.
Each column in the matrix describes a point on the letter. The order of the columns shows the direction in which a pencil must move to draw the letter. The L is completed by connecting the last point in the matrix, (0, 5), to the starting point, (0, 0). Use these ideas to solve Exercises
A year has passed since Exercise 63. (Time flies when you’re solving exercises in algebra books.) It’s been a terrific year and so many wonderful things have happened that you can’t remember your goal from a year ago. You consult your personal journal and you find the encoded message and the
In Exercises 59–62, determine whether each statement makes sense or does not make sense, and explain your reasoning.Matrix row operations remind me of what I did when solving a linear system by the addition method, although I no longer write the variables.
In Exercises 71–76, write each system in the form AX = B. Then solve the system by entering A and B into your graphing utility and computing A-1 B. x - y 6x + y + 20z = y + 3z = 1 14 1
Exercises 71–73 will help you prepare for the material covered in the next section. In each exercise, refer to the following system:a. Select a value for z other than 0 or 1 and show that (12z + 1, 10z - 1, z) satisfies the system. 3x-4y + 4z = 7 = x - у - 2z = 2 y 2x-3y + 6z = 5. =
If two matrices can be multiplied, describe how to determine the order of the product.
In Exercises 13–26, use vertices and asymptotes to graph each hyperbola. Locate the foci and find the equations of the asymptotes. 2 | 25 x 64 = 1
In Exercises 15–22, graph each hyperbola. Locate the foci and find the equations of the asymptotes. (x - 2)² (y + 3)² 25 16 || 1
In Exercises 19–24, find the standard form of the equation of each ellipse and give the location of its foci. T y دنا -4- 3 4 H X
In Exercises 19–24, find the standard form of the equation of each ellipse and give the location of its foci. 1 -3-2-11- 2 CELE wwwwww X
A skydiver falls 16 feet during the first second of a dive, 48 feet during the second second, 80 feet during the third second, 112 feet during the fourth second, and so on. Find the distance that the skydiver falls during the 15th second and the total distance the skydiver falls in 15 seconds.
In Exercises 15–22, graph each hyperbola. Locate the foci and find the equations of the asymptotes. (v + 2)² (x - 3)² 25 16 = 1
In Exercises 21–38, solve each system of equations using matrices. Use Gaussian elimination with back-substitution or Gauss-Jordan elimination. - 3z = -2 X 2x + 2y + 2 = 3x + y - 2z = N 4 + in 5
In Exercises 15–22, graph each hyperbola. Locate the foci and find the equations of the asymptotes.4y2 - x2 = 16
In Exercises 17–30, find the standard form of the equation of each parabola satisfying the given conditions.Focus: (9, 0); Directrix: x = -9
In Exercises 1–18, graph each ellipse and locate the foci.6x2 = 30 - 5y2
In Exercises 12–18, graph each equation.(x - 1)2 - (y - 1)2 = 4
In Exercises 19–28, find A-1 by forming [A| I] and then using row operations to obtain [I| B], where A-1 = [B]. Check that AA-1 = I and A-1 A = I. A = 50 2 2 -3 1 2 1 -1
Rent-a-Truck charges a daily rental rate for a truck of $39 plus $0.16 a mile. A competing agency, Ace Truck Rentals, charges $25 a day plus $0.24 a mile for the same truck. How many miles must be driven in a day to make the daily cost of both agencies the same? What will be the cost?
In Exercises 25–28, the first screen shows the augmented matrix, A, for a non square linear system of three equations in four variables, w, x, y, and z. The second screen shows the reduced row-echelon form of matrix A. For each exercise,a. Write the system represented by A.b. Use the reduced
In Exercises 13–26, use vertices and asymptotes to graph each hyperbola. Locate the foci and find the equations of the asymptotes.4y2 - x2 = 1
If the average value of a house increases 10% per year, how much will a house costing $120,000 be worth in 10 years? Round to the nearest dollar.
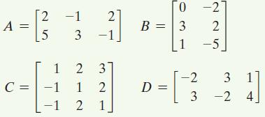
In Exercises 14–27, perform the indicated matrix operations given that A, B, C, and D are defined as follows. If an operation is not defined, state the reason.(A - D)C A = [2 -1 5 3 12 C = -1 1 3 2 -1 2 1 2 B = D = 0 3 T -2 2 -5 -2 3 1 3 -2 4
In Exercises 17–30, find the standard form of the equation of each parabola satisfying the given conditions.Focus: (-5, 0); Directrix: x = 5
Evaluate each determinant in Exercises 23–28. 2 -1 3 -4 2 05 04
In Exercises 17–26, letSolve each matrix equation for X.4B + 3A = -2X A = -3 -7 2 -9 5 0 and B = -5 -1 0 0 3 -4
In Exercises 19–28, find A-1 by forming [A| I] and then using row operations to obtain [I| B], where A-1 = [B]. Check that AA-1 = I and A-1 A = I. А || 2 2 625
In Exercises 19–22, find the standard form of the equation of the conic section satisfying the given conditions.Ellipse; Foci: (-4, 0), (4, 0); Vertices: (-5, 0), (5, 0)
In Exercises 27–36, find (if possible) the following matrices:a. ABb. BA. A = [ 3 ] B =[-1 в 5 3 -2 6
In Exercises 21–38, solve each system of equations using matrices. Use Gaussian elimination with back-substitution or Gauss-Jordan elimination. x + y + z = 4 x-y-z = 0 x = y + z = 2
In Exercises 13–26, use vertices and asymptotes to graph each hyperbola. Locate the foci and find the equations of the asymptotes.9y2 - x2 = 1
The local cable television company offers two deals. Basic cable service with one movie channel costs $35 per month. Basic service with two movie channels costs $45 per month. Find the charge for the basic cable service and the charge for each movie channel.
In Exercises 25–28, the first screen shows the augmented matrix, A, for a non square linear system of three equations in four variables, w, x, y, and z. The second screen shows the reduced row-echelon form of matrix A. For each exercise,a. Write the system represented by A.b. Use the reduced
In Exercises 27–36, find (if possible) the following matrices:a. ABb. BA. 3 -2 Го A = [₁ ²] = [² - А B 0 -6 1 5 5
In Exercises 17–30, find the standard form of the equation of each parabola satisfying the given conditions.Focus: (-10, 0); Directrix: x = 10
In Exercises 21–38, solve each system of equations using matrices. Use Gaussian elimination with back-substitution or Gauss-Jordan elimination. 3x + y x + y + 2x + 2y + z = = 2z = 0 6 10 3z =
In Exercises 25–28, the first screen shows the augmented matrix, A, for a non square linear system of three equations in four variables, w, x, y, and z. The second screen shows the reduced row-echelon form of matrix A. For each exercise,a. Write the system represented by A.b. Use the reduced
In Exercises 17–30, find the standard form of the equation of each parabola satisfying the given conditions.Focus: (0, 15); Directrix: y = -15
In Exercises 15–22, graph each hyperbola. Locate the foci and find the equations of the asymptotes.y2 - 4y - 4x2 + 8x - 4 = 0
In Exercises 14–27, perform the indicated matrix operations given that A, B, C, and D are defined as follows. If an operation is not defined, state the reason.B(AC) A = [2 -1 5 3 12 C = -1 1 3 2 -1 2 1 2 B = D = 0 3 T -2 2 -5 -2 3 1 3 -2 4
Evaluate each determinant in Exercises 23–28. 22 -3 4 25 -5
In Exercises 19–28, find A-1 by forming [A| I] and then using row operations to obtain [I| B], where A-1 = [B]. Check that AA-1 = I and A-1 A = I. A = 1 0-1 0 1 00 00 00 0 3 0 0 0 1
In Exercises 27–36, find (if possible) the following matrices:a. ABb. BA. A = [1 2 3 4], B = 1 2 4
In Exercises 19–28, find A-1 by forming [A| I] and then using row operations to obtain [I| B], where A-1 = [B]. Check that AA-1 = I and A-1 A = I. A || 2 0 0 1 00 0 0 01 0 0 0 2 -1 0
In Exercises 29–36, use Cramer’s Rule to solve each system. x + 2x - -x + y + z = y + z 3y z = - 0 -1 -8
In Exercises 21–38, solve each system of equations using matrices. Use Gaussian elimination with back-substitution or Gauss-Jordan elimination. x + 2y = z - 1 x = 4 + y - z (x + y - 3z -2
Solve for X in the matrix equation where A 46 |_$ -5 0 3X + A = B, -2 = [ 2 4 and B -12 1
Evaluate each determinant in Exercises 23–28. 1 2 2 2 3 2 3 -3 1
In Exercises 29–30, use nine pixels in a 3 × 3 grid and the color levels shown.Write a 3 × 3 matrix that represents a digital photograph of the letter T in dark gray on a light gray background. White Light gray Dark gray Black 0 1 2 3
In Exercises 27–36, find (if possible) the following matrices:a. ABb. BA. A: = -2 -3 B = [1 2 3]
In Exercises 29–32, write each linear system as a matrix equation in the form AX = B, where A is the coefficient matrix and B is the constant matrix. 7x + 5y = 23 (3x + 2y = 10
The figure for Exercises 29–32 shows the intersections of three one-way streets. To keep traffic moving, the number of cars per minute entering an intersection must equal the number exiting that intersection. For intersection I1, x + 10 cars enter and y + 14 cars exit per minute. Thus, x + 10 = y
In Exercises 29–36, use Cramer’s Rule to solve each system. x = y + 2z = 2x + 3y + z = -x 3 9 y + 3z = 11
In Exercises 29–30, use nine pixels in a 3 × 3 grid and the color levels shown.Find a matrix B so that A + B increases the contrast of the letter T by changing the dark gray to black and the light gray to white. White Light gray Dark gray Black 0 1 2 3
The figure for Exercises 29–32 shows the intersections of three one-way streets. To keep traffic moving, the number of cars per minute entering an intersection must equal the number exiting that intersection. For intersection I1, x + 10 cars enter and y + 14 cars exit per minute. Thus, x + 10 = y
In Exercises 21–38, solve each system of equations using matrices. Use Gaussian elimination with back-substitution or Gauss-Jordan elimination. 2x + y = z + 1 2x = 1 + 3y - z x + y + z = 4
In Exercises 21–38, solve each system of equations using matrices. Use Gaussian elimination with back-substitution or Gauss-Jordan elimination. b - 4c = = 3a - 2a - b + c = -8 a + b = 3 = 9 3 لیا
Use Gaussian elimination to solve the system formed by the equation given prior to Exercise 29 and the two equations that you obtained in Exercises 29–30.Data from exercise 29The figure for Exercises 29–32 shows the intersections of three one-way streets. To keep traffic moving, the number of
In Exercises 27–36, find (if possible) the following matrices:a. ABb. BA. A= = 1 4 2 -1 -1 4 3 0-2 B = 1 1 1 1 0 24 -1 3
In Exercises 29–32, write each linear system as a matrix equation in the form AX = B, where A is the coefficient matrix and B is the constant matrix. x + 3y + 4z x + 2y + 3z x + 4y + 3z || || || -3 -2 -6
The figure shows a right triangle in a rectangular coordinate system.The figure can be represented by the matrixUse the triangle and the matrix that represents it to solve Exercises 31–36.Use matrix operations to move the triangle 2 units to the left and 1 unit up. Then graph the triangle and its
Use your ordered solution obtained in Exercise 31 to solve this exercise. If construction limits z to 4 cars per minute, how many cars per minute must pass between the other intersections to keep traffic flowing?Data from exercise 31Use Gaussian elimination to solve the system formed by the
In Exercises 27–36, find (if possible) the following matrices:a. ABb. BA. 1 A 5 3 -1 0-2 2 -2 B = 1 3 07 5 1 -4 -1 2
In Exercises 29–36, use Cramer’s Rule to solve each system. 4x - 5y - 6z = -1 x - 2y - 5z = -12 2x y 7 =
In Exercises 21–38, solve each system of equations using matrices. Use Gaussian elimination with back-substitution or Gauss-Jordan elimination. 3x + 2y + 3z = 3 4x - 5y + 7z = 1 2x + 3y2z = 6
In Exercises 21–38, solve each system of equations using matrices. Use Gaussian elimination with back-substitution or Gauss-Jordan elimination. 2x + 2y + 7z = -1 2x + y + 2z = 2 4x + 6y + z = 15
In Exercises 21–38, solve each system of equations using matrices. Use Gaussian elimination with back-substitution or Gauss-Jordan elimination. 3a + b - 2a + 3b - 5c a - 2b + 3c c= = 0 1 -4
The figure shows a right triangle in a rectangular coordinate system.The figure can be represented by the matrixUse the triangle and the matrix that represents it to solve Exercises 31–36.Use matrix operations to reduce the triangle to half its perimeter and move the reduced image 2 units down.
The figure shows a right triangle in a rectangular coordinate system.The figure can be represented by the matrixUse the triangle and the matrix that represents it to solve Exercises 31–36.In Exercises 33–36, find AB and graph the resulting image. What effect does the multiplication have on the
The vitamin content per ounce for three foods is given in the following table.a. Use matrices to show that no combination of these foods can provide exactly 14 mg of thiamin, 32 mg of riboflavin, and 9 mg of niacin.b. Use matrices to describe in practical terms what happens if the riboflavin
The figure shows a right triangle in a rectangular coordinate system.The figure can be represented by the matrixUse the triangle and the matrix that represents it to solve Exercises 31–36.In Exercises 33–36, find AB and graph the resulting image. What effect does the multiplication have on the
Three foods have the following nutritional content per ounce.a. A diet must consist precisely of 220 units of vitamin A, 180 units of iron, and 340 units of calcium. However, the dietician runs out of Food 1. Use a matrix approach to show that under these conditions the dietary requirements cannot
In Exercises 29–36, use Cramer’s Rule to solve each system. x - 3y + z = -2 x + 2y 8 2x - y 1 || ||
The figure shows the intersections of four one-way streets.a. Set up a system of equations that keeps traffic moving.b. Use Gaussian elimination to solve the system.c. If construction limits z to 50 cars per hour, how many cars per hour must pass between the other intersections to keep traffic
In Exercises 27–36, find (if possible) the following matrices:a. ABb. BA. A= 4 2 6 1 3 5 B = 2 -1 3 4 -2 -2 0
In Exercises 21–38, solve each system of equations using matrices. Use Gaussian elimination with back-substitution or Gauss-Jordan elimination. w + x + y + z = 2w x + 2y - z = w 2x y 2z - - 2z 3w+ 2x + y + 3z 4 0 = -2 4 =
In Exercises 29–36, use Cramer’s Rule to solve each system. x + y + z = 4 z = 7 x - 2y + x + 3y + 2z = 4
In Exercises 29–36, use Cramer’s Rule to solve each system. 2x + 2y + 3z = 4x - y + z = 5x - 2y + 6z 10 -5 1
The figure shows a right triangle in a rectangular coordinate system.The figure can be represented by the matrixUse the triangle and the matrix that represents it to solve Exercises 31–36.In Exercises 33–36, find AB and graph the resulting image. What effect does the multiplication have on the
In Exercises 27–36, find (if possible) the following matrices:a. ABb. BA. A = 24 23 1 4 2 B = 3 -1 2 -3 01 5
In Exercises 33–36, write each matrix equation as a system of linear equations without matrices. 4 -7 2-3] X -3 1.
In Exercises 21–38, solve each system of equations using matrices. Use Gaussian elimination with back-substitution or Gauss-Jordan elimination. w + x + y + z = 5 w + 2x - y - 2z -1 W 3x - 3y - z = z -1 2w x + 2y z = -2 - =
The figure shows a right triangle in a rectangular coordinate system.The figure can be represented by the matrixUse the triangle and the matrix that represents it to solve Exercises 31–36.In Exercises 33–36, find AB and graph the resulting image. What effect does the multiplication have on the
In Exercises 33–36, write each matrix equation as a system of linear equations without matrices. 30 X [3]-[9] Ly. 6 -7
In Exercises 33–36, write each matrix equation as a system of linear equations without matrices. 2 0 -1 0 03 1 1 0 []-[ y 6 95
In Exercises 27–36, find (if possible) the following matrices:a. ABb. BA. A = [2 -1 3 2 0-2 1, B = 1 3 6 2 1 -4 5
In Exercises 21–38, solve each system of equations using matrices. Use Gaussian elimination with back-substitution or Gauss-Jordan elimination. y - 3z = 4z W - x + 3w+ 5x - y - z = w + x - y - z = 2w + 8 -10 20 6
In Exercises 21–38, solve each system of equations using matrices. Use Gaussian elimination with back-substitution or Gauss-Jordan elimination. 3w - 4x + w + x - y + z = 9 y z=0 - 2w + x + 4y - 2z = 3 -w + 2x + y - 3z = 3
In Exercises 29–36, use Cramer’s Rule to solve each system. x + 2z = 4 2y - z = 5 = 13 2x + 3y
A company that manufactures products A, B, and C does both manufacturing and testing. The hours needed to manufacture and test each product are shown in the table.The company has exactly 67 hours per week available for manufacturing and 20 hours per week available for testing. Give two different
In Exercises 29–36, use Cramer’s Rule to solve each system. 3x + 2z = 5x - y = 4y + 3z 4 -4 22
In Exercises 27–36, find (if possible) the following matrices:a. ABb. BA. -12² A = -3 1 1-2 1. B = 1 2 -1 1 5 4 10 5
In Exercises 33–36, write each matrix equation as a system of linear equations without matrices. -1 0 0 01 -1 -1 0 y 11 Z X -4 2 4
Showing 2900 - 3000
of 13634
First
23
24
25
26
27
28
29
30
31
32
33
34
35
36
37
Last
Step by Step Answers