New Semester
Started
Get
50% OFF
Study Help!
--h --m --s
Claim Now
Question Answers
Textbooks
Find textbooks, questions and answers
Oops, something went wrong!
Change your search query and then try again
S
Books
FREE
Study Help
Expert Questions
Accounting
General Management
Mathematics
Finance
Organizational Behaviour
Law
Physics
Operating System
Management Leadership
Sociology
Programming
Marketing
Database
Computer Network
Economics
Textbooks Solutions
Accounting
Managerial Accounting
Management Leadership
Cost Accounting
Statistics
Business Law
Corporate Finance
Finance
Economics
Auditing
Tutors
Online Tutors
Find a Tutor
Hire a Tutor
Become a Tutor
AI Tutor
AI Study Planner
NEW
Sell Books
Search
Search
Sign In
Register
study help
mathematics
college algebra
College Algebra 12th edition Margaret L. Lial, John Hornsby, David I. Schneider, Callie Daniels - Solutions
The amount of a certain radioactive material, in grams, present after t days is modeled by A(t) = 600e-0.05t.(a) Find the amount present after 12 days, to the nearest tenth of a gram.(b) Find the half-life of the material, to the nearest tenth of a day.
For any amount of money invested at 2.8% annual interest compounded continuously, how long, to the nearest tenth of a year, will it take to triple?
How many years, to the nearest tenth, will be needed for $5000 to increase to $18,000 at 3.0% annual interest compounded (a) monthly (b) continuously?
Solve the problem.A skydiver in free fall travels at a speed modeled by v(t) = 176(1 - e-0.18t) feet per second after t seconds. How long, to the nearest second, will it take for the skydiver to attain a speed of 147 ft per sec (100 mph)?
A friend is taking another mathematics course and says, “I have no idea what an expression like log5 27 really means.” Write an explanation of what it means, and tell how we can find an approximation for it with a calculator.
Solve the equation. Give solutions in exact form.log3 (x + 1) - log3 (x - 3) = 2
If the radius of a circle is doubled, by what factor will the area change? 2r
If the lengths of the sides of a cube are tripled, by what factor will the volume change? Зх х х х Зx Зх
Simplify the rational expression. Assume all variable expressions represent positive real numbers.7(3t + 1)1/4 - (t - 1)(3t + 1)-3/4/(3t + 1)3/4
Simplify the rational expression. Assume all variable expressions represent positive real numbers.2(2x - 3)1/3 - (x - 1)(2x - 3)-2/3/(2x - 3)2/3
Simplify the rational expression. Assume all variable expressions represent positive real numbers.4(x2 - 1)3 + 8x(x2 - 1)4/16(x2 - 1)3
Simplify the rational expression. Assume all variable expressions represent positive real numbers.10(4x2 - 9)2 - 25x(4x2 - 9)3/15(4x2 - 9)6
Simplify the rational expression. Assume all variable expressions represent positive real numbers.(y2 + 2)5(3y) - y3(6)(y2 + 2)4(3y)/(y2 + 2)7
Simplify the rational expression. Assume all variable expressions represent positive real numbers.(x2 + 1)4(2x2 - x2(4)(x2 + 1)3(2x)/(x2 + 1)8
Perform all indicated operations, and write each answer with positive integer exponents.x - 9y-1/(x - 3y-1)(x + 3y-1)
Perform all indicated operations, and write each answer with positive integer exponents.a - 16b-1/(a + 4b-1)(a - 4b-1)
Factor out the least power of the variable or variable expression. Assume all variables represent positive real numbers.2(3x + 1)-3/2 + 4(3x + 1)-1/2 + 6(3x + 1)1/2
Factor out the least power of the variable or variable expression. Assume all variables represent positive real numbers.6r-2/3 - 5r-5/3
Perform all indicated operations, and write each answer with positive integer exponents.x-2 + y-2/x-2 - y-2 • x + y/x - y
Perform all indicated operations, and write each answer with positive integer exponents.r -1 + q-1/r -1 - q-1 • r - q/r + q
Factor out the least power of the variable or variable expression. Assume all variables represent positive real numbers.6y3(4y - 1)-3/7 - 8y2(4y - 1)4/7 + 16y(4y - 1)11/7
Perform all indicated operations, and write each answer with positive integer exponents.a-1 + b-1/(ab)-1
Perform all indicated operations, and write each answer with positive integer exponents.p-1 - q-1/)pq)-1
Factor out the least power of the variable or variable expression. Assume all variables represent positive real numbers.4x(2x + 3)-5/9 + 6x2(2x + 3)4/9 - 8x3(2x + 3)13/9
Factor out the least power of the variable or variable expression. Assume all variables represent positive real numbers.-4a-2/5 + 16a-7/5
Factor out the least power of the variable or variable expression. Assume all variables represent positive real numbers.7(5t + 3)-5/3 + 14(5t + 3)-2/3 - 21(5t + 3)1/3
Factor out the least power of the variable or variable expression. Assume all variables represent positive real numbers.(p + 4)-3/2 + (p + 4)-1/2 + (p + 4)1/2
Factor out the least power of the variable or variable expression. Assume all variables represent positive real numbers.(3r + 1)-2/3 + (3r + 1)1/3 + (3r + 1)4/3
Factor out the least power of the variable or variable expression. Assume all variables represent positive real numbers.-3p-3/4 - 30p-7/4
Factor out the least power of the variable or variable expression. Assume all variables represent positive real numbers.p-3/4 - 2p-7/4
Factor out the least power of the variable or variable expression. Assume all variables represent positive real numbers.y-5 - 3y-3
Factor out the least power of the variable or variable expression. Assume all variables represent positive real numbers.4k-1 + k-2
Factor out the least power of the variable or variable expression. Assume all variables represent positive real numbers.3m2/3 - 4m-1/3
Factor out the least power of the variable or variable expression. Assume all variables represent positive real numbers.9z-1/2 + 2z1/2
Factor out the least power of the variable or variable expression. Assume all variables represent positive real numbers.5r -6 - 10r -8
Factor out the least power of the variable or variable expression. Assume all variables represent positive real numbers.4t-2 + 8t-4
Find the product. Assume all variables represent positive real numbers. See Example 6(e). (p2 – p-12)(p2 + p2) 1/2 -1/2 1/2
Find the product. Assume all variables represent positive real numbers. See Example 6(e). (r12 – r-12)²| 1/2 -1/2
Find the product. Assume all variables represent positive real numbers. See Example 6(e). (x + x2)(x – x1/2)
Find the product. Assume all variables represent positive real numbers. See Example 6(e). -5y(3y%10 + 4y3/10) ,9/10
Find the product. Assume all variables represent positive real numbers. See Example 6(e). (x + x2)(x – x1/2)
Find the product. Assume all variables represent positive real numbers. See Example 6(e). -4k(k/3 – 6k1/3) 713
Find the product. Assume all variables represent positive real numbers. See Example 6(e). p1/5(3p45 + 9p19/5)
Find each product. Assume all variables represent positive real numbers. See Example 6(e). у5(узв — 10у18) y518 (y3/8 11/8'
Duration of a Storm Suppose that meteorologists approximate the duration of a particular storm by using the formulaT = 0.07D3/2,where T is the time (in hours) that a storm of diameter D (in miles) lasts.(a) The National Weather Service reports that a storm 4 mi in diameter is headed toward New
Holding Time of Athletes A group of ten athletes were tested for isometric endurance by measuring the length of time they could resist a load pulling on their legs while seated. The approximate amount of time (called the holding time) that they could resist the load was given by the formula t
Simplify the expression. Write answers without negative exponents. Assume all variables represent positive real numbers. 1/3,-2/3,1/6 z -1/6 (z-16)3
Simplify the expression. Write answers without negative exponents. Assume all variables represent positive real numbers.
Simplify the expression. Write answers without negative exponents. Assume all variables represent positive real numbers. 25ªa³ \ 1/8 (42b-5\1/4 b2 a?
Simplify the expression. Write answers without negative exponents. Assume all variables represent positive real numbers. 3\ 1/4 1/4 16т3 9n 1/2 m2 п
Simplify the expression. Write answers without negative exponents. Assume all variables represent positive real numbers. (p³)! 1/4 5/4 (p34)2
Simplify the expression. Write answers without negative exponents. Assume all variables represent positive real numbers. (х)? (x?)73 2/3 7/3
Simplify the expression. Write answers without negative exponents. Assume all variables represent positive real numbers. (r1$g23) 15 1/5 r2
Simplify the expression. Write answers without negative exponents. Assume all variables represent positive real numbers. .1/4 ,2/5)20 x?
Simplify the expression. Write answers without negative exponents. Assume all variables represent positive real numbers. 3/4 „5/4 -2
Simplify the expression. Write answers without negative exponents. Assume all variables represent positive real numbers. k -1/3 2/3 -1
Simplify the expression. Write answers without negative exponents. Assume all variables represent positive real numbers.r -8/9 · r17/9
Simplify the expression. Write answers without negative exponents. Assume all variables represent positive real numbers.y7/3 · y-4/3
Simplify the expression. Write answers without negative exponents. Assume all variables represent positive real numbers.1257/3/1255/3
Simplify the expression. Write answers without negative exponents. Assume all variables represent positive real numbers.64/3 · 62/3
Simplify the expression. Write answers without negative exponents. Assume all variables represent positive real numbers.31/2 · 33/2
Simplify the expression. Write answers without negative exponents. Assume all variables represent positive real numbers.645/3/644/3
Simplify the expression. Write answers without negative exponents. Assume all variables represent positive real numbers.(121/100)-3/2
Simplify the expression. Write answers without negative exponents. Assume all variables represent positive real numbers.(27/64)-4/3
Simplify the expression. Write answers without negative exponents. Assume all variables represent positive real numbers.(-32)-4/5
Simplify the expression. Write answers without negative exponents. Assume all variables represent positive real numbers.-813/4
Simplify the expression. Write answers without negative exponents. Assume all variables represent positive real numbers.643/2
Simplify the expression. Write answers without negative exponents. Assume all variables represent positive real numbers.1003/2
Simplify the expression. Write answers without negative exponents. Assume all variables represent positive real numbers.274/3
Simplify the expression. Write answers without negative exponents. Assume all variables represent positive real numbers.82/3
Evaluate the expression.(-64)1/4
Evaluate the expression.(-4)1/2
Evaluate the expression.(-8/27)1/3
Evaluate the expression.(-64/27)1/3
Evaluate the expression.6251/4
Evaluate the expression.161/4
Evaluate the expression.1211/2
Evaluate the expression.1691/2
Simplify the expression. Write answers without negative exponents. Assume all variables represent nonzero real numbers. (8y²)-^(8y³)-2 (8-3y 4)2
Simplify the expression. Write answers without negative exponents. Assume all variables represent nonzero real numbers. (5x)-²(5x³)-3 (5-2x-³)3
Simplify the expression. Write answers without negative exponents. Assume all variables represent nonzero real numbers. 12k -2(k-3)4 6k5
Simplify the expression. Write answers without negative exponents. Assume all variables represent nonzero real numbers. 4a°(a¯')³ (a-2)-2
Simplify the expression. Write answers without negative exponents. Assume all variables represent nonzero real numbers. (-8xy)y³ .3 4x*y4
Simplify the expression. Write answers without negative exponents. Assume all variables represent nonzero real numbers. (Зрq)q бр'q
Simplify the expression. Write answers without negative exponents. Assume all variables represent nonzero real numbers. (m*)° 9т-3
Simplify the expression. Write answers without negative exponents. Assume all variables represent nonzero real numbers. (p-²)° 5p p4
Simplify the expression. Write answers without negative exponents. Assume all variables represent nonzero real numbers.(3p-4)2(p3)-1
Simplify the expression. Write answers without negative exponents. Assume all variables represent nonzero real numbers.(5a-1)4(a2)-3
Simplify the expression. Write answers without negative exponents. Assume all variables represent nonzero real numbers.-2m-1(m3)2
Simplify the expression. Write answers without negative exponents. Assume all variables represent nonzero real numbers.-4r -2(r4)2
Simplify the expression. Write answers without negative exponents. Assume all variables represent nonzero real numbers. 15a-b-1 25а ?Ь4
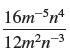
Simplify the expression. Write answers without negative exponents. Assume all variables represent nonzero real numbers. 16m Sn 12m?n-3
Simplify the expression. Write answers without negative exponents. Assume all variables represent nonzero real numbers. 15s4 5s-8
Simplify the expression. Write answers without negative exponents. Assume all variables represent nonzero real numbers. 4r-3 бr-6
Simplify the expression. Write answers without negative exponents. Assume all variables represent nonzero real numbers.75/7-3
Simplify the expression. Write answers without negative exponents. Assume all variables represent nonzero real numbers.64/6-2
Simplify the expression. Write answers without negative exponents. Assume all variables represent nonzero real numbers.y8/y12
Simplify the expression. Write answers without negative exponents. Assume all variables represent nonzero real numbers.r7/r10
Simplify the expression. Write answers without negative exponents. Assume all variables represent nonzero real numbers.y14/y10
Simplify the expression. Write answers without negative exponents. Assume all variables represent nonzero real numbers.x12/x8
Showing 10900 - 11000
of 16373
First
103
104
105
106
107
108
109
110
111
112
113
114
115
116
117
Last
Step by Step Answers