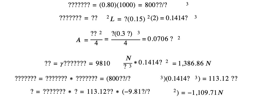
Question: ??????? = (0.80) (1000) = 800??/? 3 ??????? = ?? 2L = ?(0.15) 2(2) = 0.1414? 3 ?? 2 ?(0.3 ?) 3 A = 4

Step by Step Solution
There are 3 Steps involved in it
1 Expert Approved Answer
Step: 1 Unlock
Question Has Been Solved by an Expert!
Get step-by-step solutions from verified subject matter experts
Step: 2 Unlock
Step: 3 Unlock
