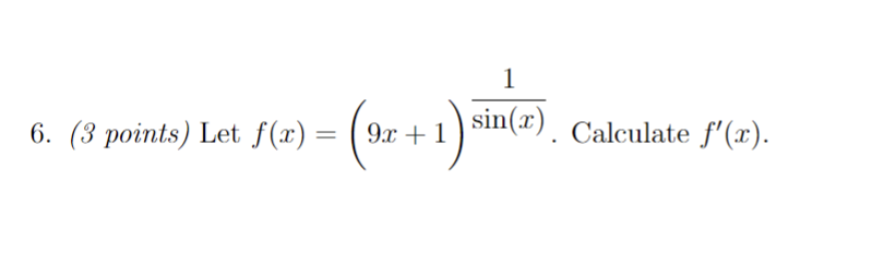
Question: 1 6. (3 points) Let f(x) = (9 9x+1 -1) sin(2). Calculate f'(x).
1 6. (3 points) Let f(x) = (9 9x+1 -1) sin(2). Calculate f'(x).
Step by Step Solution
There are 3 Steps involved in it
1 Expert Approved Answer
Step: 1 Unlock
Question Has Been Solved by an Expert!
Get step-by-step solutions from verified subject matter experts
Step: 2 Unlock
Step: 3 Unlock
