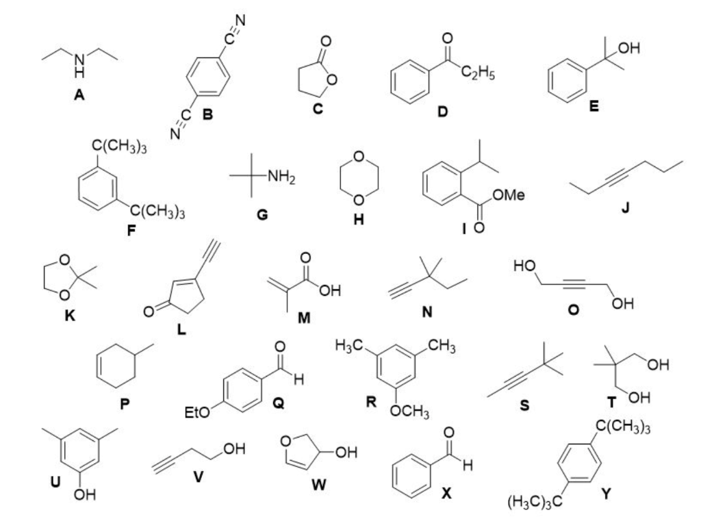
Question: 1. A C 4 H 11 N compound has a strong IR absorption at 3500-3200 cm -1 . The 1 H NMR spectrum has a
1. A C4H11N compound has a strong IR absorption at 3500-3200 cm-1. The 1H NMR spectrum has a singlet at 1.4 and 1.1 ppm; relative areas: 2:9. The 13C NMR spectrum shows 2 signals at 47 and 33 ppm. Which of the following structures is consistent with the data presented?
2. A C7H12 compound has a characteristic IR absorption at 2175 cm-1. The 1H NMR spectrum has 2 singlets at 2.1 and 1.24 ppm, a triplet at 0.89 ppm, and a quartet at 1.38 ppm; relative areas: 1:6:3:2. The 13C NMR spectrum shows 6 signals at 90, 69, 34, 29, 28, 8 ppm. Which of the following structures is consistent with the data presented?

K L H3
Step by Step Solution
There are 3 Steps involved in it
1 Expert Approved Answer
Step: 1 Unlock
Question Has Been Solved by an Expert!
Get step-by-step solutions from verified subject matter experts
Step: 2 Unlock
Step: 3 Unlock
