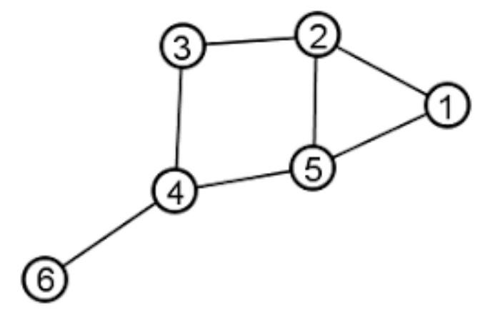
Question: 1. Construct the adjacency and the degree matrix. Use them to construct the graph Laplacian matrix.2. Use the graph Laplacian matrix to split the graph
1. Construct the adjacency and the degree matrix. Use them to construct the graph Laplacian matrix.2. Use the graph Laplacian matrix to split the graph into two clusters (you can use the computer to do calculations). Explain.

Step by Step Solution
There are 3 Steps involved in it
Get step-by-step solutions from verified subject matter experts
