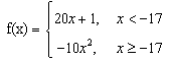
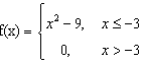
Question: 1. fffffff(x) X - 12x + 16, for x S -7 kx + 268, for x > -7f
1.








Step by Step Solution
There are 3 Steps involved in it
1 Expert Approved Answer
Step: 1 Unlock
Question Has Been Solved by an Expert!
Get step-by-step solutions from verified subject matter experts
Step: 2 Unlock
Step: 3 Unlock
