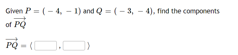
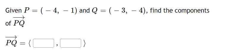
Question: 1 fFind the components of the vector 25 based on the vector shown. 23 = (I H I) Given q = 8, 4) and =





1





\fFind the components of the vector 25 based on the vector shown. 23 = (I H I)
Given q = 8, 4) and = 7), find c.
Step by Step Solution
There are 3 Steps involved in it
Get step-by-step solutions from verified subject matter experts
