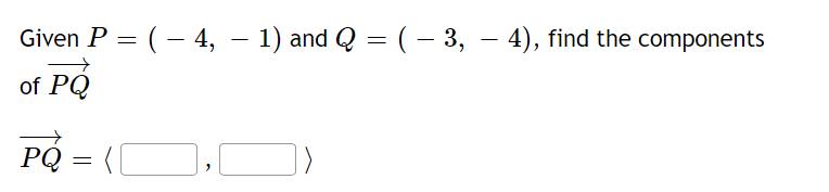
Question: fFind the components of the vector 25 based on the vector shown. 23 = (I H I) Given q = 8, 4) and = 7),










\fFind the components of the vector 25 based on the vector shown. 23 = (I H I)
Given q = 8, 4) and = 7), find c.
Step by Step Solution
There are 3 Steps involved in it
1 Expert Approved Answer
Step: 1 Unlock
Question Has Been Solved by an Expert!
Get step-by-step solutions from verified subject matter experts
Step: 2 Unlock
Step: 3 Unlock
