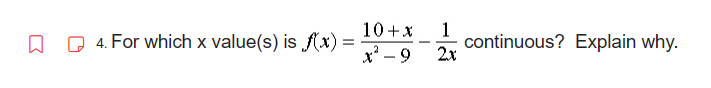
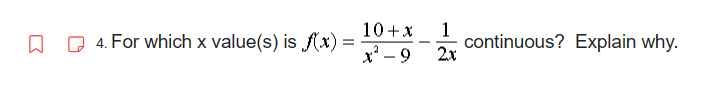
Question: 1. For which x value(s) is f(x): = 1+x x +2 continuous? Explain why.








1. For which x value(s) is f(x): = 1+x x +2 continuous? Explain why.
Step by Step Solution
There are 3 Steps involved in it
Get step-by-step solutions from verified subject matter experts
