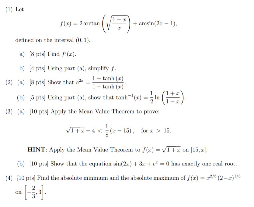
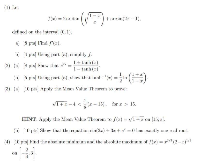
Question: (1) Let 1 - X f(x) = 2 arctan + arcsin(2r - 1), defined on the interval (0, 1). a) [8 pts] Find f'(x). b)

![- 1), defined on the interval (0, 1). a) [8 pts] Find](https://s3.amazonaws.com/si.experts.images/answers/2024/06/667678511a353_08166767851074e4.jpg)
(1) Let 1 - X f(x) = 2 arctan + arcsin(2r - 1), defined on the interval (0, 1). a) [8 pts] Find f'(x). b) [4 pts] Using part (a), simplify f. (2) (a) [8 pts] Show that e2x _ I + tanh (x) 1 - tanh () (b) [5 pts] Using part (a), show that tank '(@)= 1+x (3) (a) [10 pts] Apply the Mean Value Theorem to prove: Vi+x-4 > 15. HINT: Apply the Mean Value Theorem to f(x) = v1 + x on [15, x]. (b) [10 pts] Show that the equation sin(2x) + 3x + et = 0 has exactly one real root. (4) [10 pts] Find the absolute minimum and the absolute maximum of f (x) = 2/3 (2-2)1/3 on [-3.3]
Step by Step Solution
There are 3 Steps involved in it
Get step-by-step solutions from verified subject matter experts
