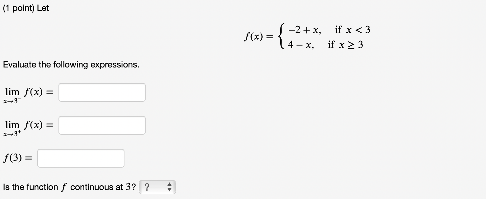
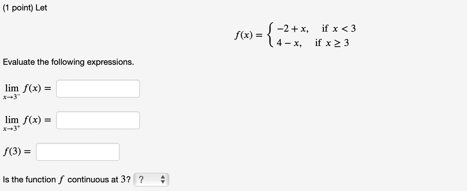
Question: (1 point) Let f(x) = 3 -2+x, if x (1 point) Let Evaluate the following expressions. lim f (x) = lim f (x) = Is


(1 point) Let f(x) = 3 -2+x, if x
(1 point) Let Evaluate the following expressions. lim f (x) = lim f (x) = Is the function f continuous at 3? f(x) = if x < 3 if x 3
Step by Step Solution
There are 3 Steps involved in it
Get step-by-step solutions from verified subject matter experts
