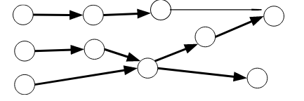
Question: 1. The project shown below includes 10 activities (represented by the circles) with precedence relations as shown by the arrows. Activity times are not shown.
1. The project shown below includes 10 activities (represented by the circles) with precedence relations as shown by the arrows. Activity times are not shown. What is the fewest number of activities that could be in the critical path?

a) 1.
b) 3.
c) 4.
d) none of the above.
2. Crashing a project is used to
a) find the latest start and latest finish of a project.
b) lengthen a project.
c) shorten a project.
3. What percentage of points are expected to be between the upper and lower control limits?
a) 50%.
b) 99%.
c) 99.99%
d) 99.7%
e) none of the above
Step by Step Solution
There are 3 Steps involved in it
Get step-by-step solutions from verified subject matter experts
