Question: 1. Two vectors, A and B, have the same magnitude, m, but vector A points north whereas vector B points east. What is the sum,








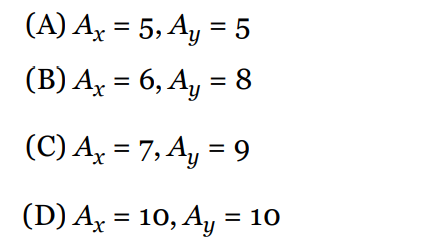
1. Two vectors, A and B, have the same magnitude, m, but vector A points north whereas vector B points east. What is the sum, A + B ? (A) m, northeast (B) m northeast (C) m northwest (D) 2m, northwest 2. If F1: 2oj, F2: 1oi, and F3 = 5i + 103, what is the sum F1 + F2 + F3 ? (A) 15i + 103 (B) 5i 103 (C) Si (D) 5i ioj 3. Both the x- and y-cornponents of a vector are doubled. Which of the following describes what happens to the resulting vector? (A) Magnitu dc increases by a factor of '5 (B) Magnitude increases by a factor of '5 and the direction changes. (C) Magnitude increases by a factor of 2. (D) Magnitude increases by a factor of 2, and the direction changes. 4. If vectors v = 15 m/s north and v, = 5 m/s south, what is v - v. ? (A) 10 m/s north (B) 10 m/s south (C) 20 m/s north (D) 20 m/s south5. The magnitude of vector A is 10. Which of the following could be the components of A ? \f6. If the vector A = i 2j and the vector B 2 4'1' 5j', what angle does A + B form with the x-axis? (A) 9 = tan1% (B) 9: tan1% (C) 9: sm'1 3 (D) 9 : sin" % 7. An object travels along the vector (11 = 4m '1' + 5mj and then along the vector ('12 = 2m '1' 3mj. How far is the object from where it started? (A) 6.3 m (B) 8 m (C) 10 m (D) 14 m 8. If A = /' and B = /, which of the following best represents the direction of A B ? 9. The xcomponent of vector A is 42, and the angle it makes with the positive x- direction is 130. What is the y-component of vector A ? (A) 65.3 (B) 5o.1 (C) 50.1 (D) 65.3 10. If two non-zero vectors are added together, and the resultant vector is zero, what must be true of the two vectors? (A) They have equal magnitude and are pointed in the same direction. (B) They have equal magnitude and are pointed in opposite directions. (C) They have different magnitudes and are pointed in opposite directions. (D) It is not possible for the sum of two non-zero vectors to be zero
Step by Step Solution
There are 3 Steps involved in it
Get step-by-step solutions from verified subject matter experts
