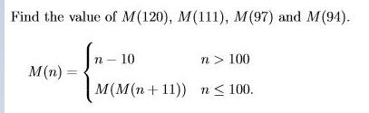
Question: Find the value of M(120), M(111), M(97) and M(94). - 10 n> 100 M(n) = (( + 11)) n < 100.
Find the value of M(120), M(111), M(97) and M(94). - 10 n> 100 M(n) = (( + 11)) n < 100.
Step by Step Solution
3.56 Rating (149 Votes )
There are 3 Steps involved in it
To solve this problem we will analyze the function Mn step by step for each requested value M120 1 S... View full answer
Get step-by-step solutions from verified subject matter experts
