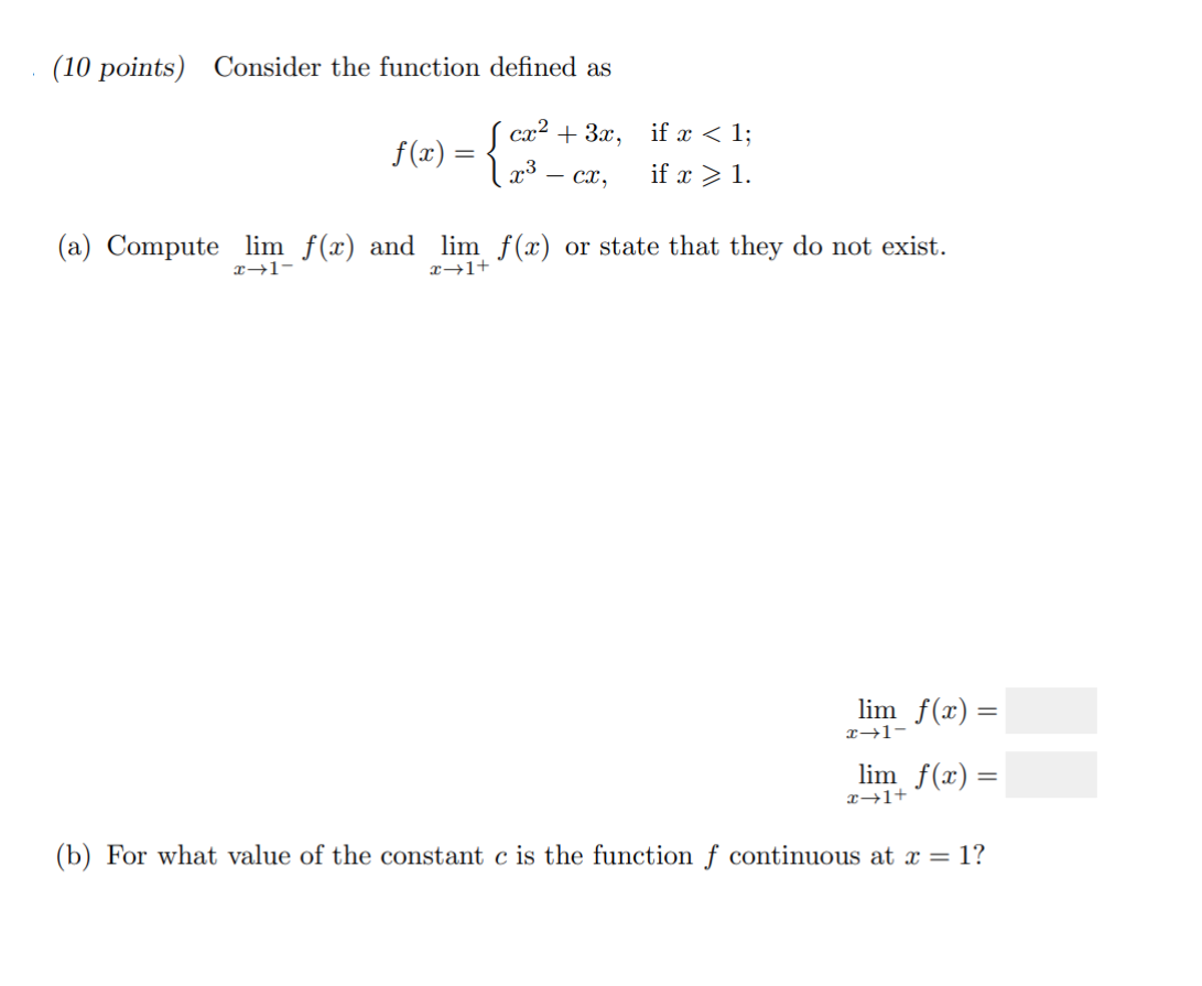
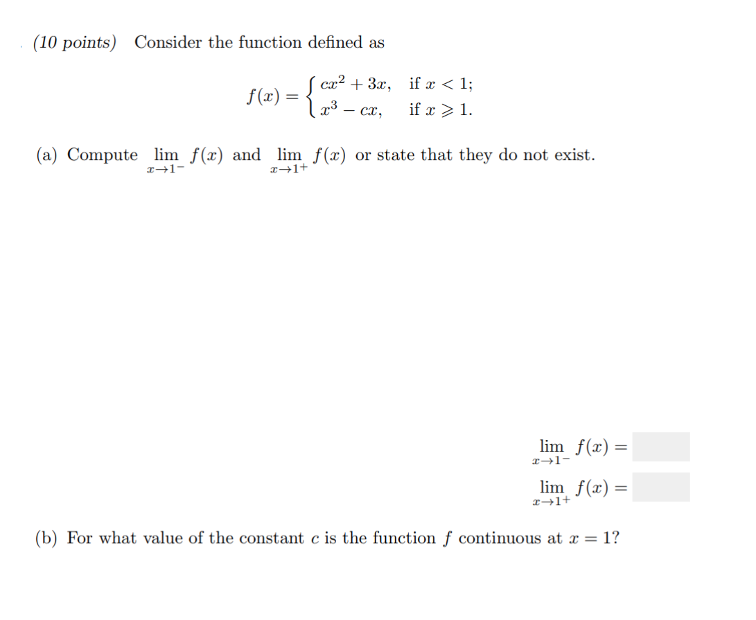
Question: (10 points) Consider the function defined as f(a) = cx +3x, if x 1. (a) Compute lim f(x) and lim f(x) or state that they


(10 points) Consider the function defined as f(a) = cx +3x, if x 1. (a) Compute lim f(x) and lim f(x) or state that they do not exist. r-+1- x-+1+ lim f(x) = r-+1- lim f(x) = (b) For what value of the constant c is the function f continuous at x = 1
Step by Step Solution
There are 3 Steps involved in it
Get step-by-step solutions from verified subject matter experts
