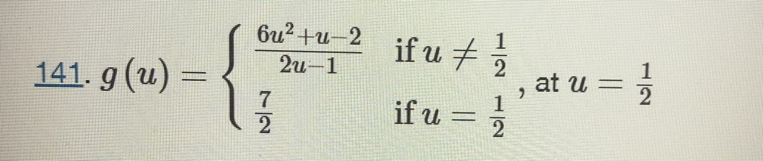
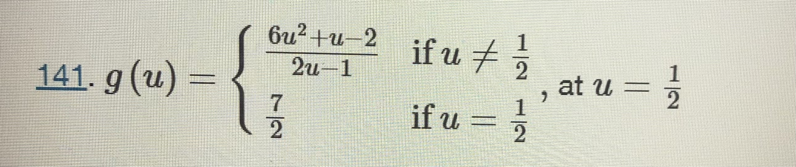
Question: 133. fa6u2+u-2 141. g (u ) 2u-1 if u * , at u 7 if u 2f157. Sketch the graph of the function y =








133. fa6u2+u-2 141. g (u ) 2u-1 if u * , at u 7 if u 2\f157. Sketch the graph of the function y = f (@ ) with properties i. through vi. i. The domain of f is ( -0o, +00) . ii. f has an infinite discontinuity at x = -6. iii. f (-6) = 3 iv. lim f (a) = lim f (x) = 2 v. f (-3) = 3 vi. f is left continuous but not right continuous at * = 3. vii. lim f (a) = -oo and lim f (x) = too
Step by Step Solution
There are 3 Steps involved in it
Get step-by-step solutions from verified subject matter experts
