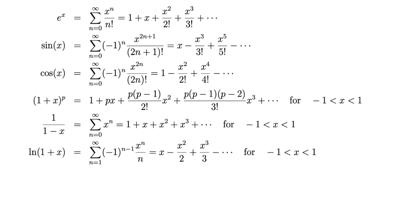
Question: = = 1+x+ + n=0 n! 2! 3! OO sin(a) = C(-1) x2n+1 23 25 = X - n=0 (2n + 1)! 5! cos(a) =




= = 1+x+ + n=0 n! 2! 3! OO sin(a) = C(-1) x2n+1 23 25 = X - n=0 (2n + 1)! 5! cos(a) = (-1)2 202n 2-2 24 =1 - (2n)! + . n=0 2! 4! (1 +x) = 1+px+ P(p - 1) p(p - 1)(p - 2) 2! 3! x3+ ... for - 1
Step by Step Solution
There are 3 Steps involved in it
Get step-by-step solutions from verified subject matter experts
