Question: 3) A very important problem in Operations Research, and one that we will use in the course a few times, is the Multi-Product Flow Problem.

3) A very important problem in Operations
3) A very important problem in Operations
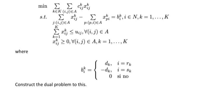
3) A very important problem in Operations Research, and one that we will use in the course a few times, is the Multi-Product Flow Problem. We now describe the problem. We have a directed network (N,A). There are K pairs of nodes that represent different origins - destinations between which there is flow. Let * = ("k, Sk) be the origin-destination pair k, rk N, 84 N. . For each pair k there is a flow demand, dk that requires traveling from Tk to Sky, using the arcs of the network, but each arc has a capacity Ui; > 0. Additionally, for each arc (ij) there is a unit cost for the flow corresponding to pair k. The problem consists of determining the flows between the different nodes so that the demand is met and the capacity of the arcs is not exceeded, and all this at the lowest possible cost. For the modeling, a variable mij is used, corresponding to the flow in (is). associated to the pair k. The model is: min ,, KEK (13)EA s.t. , - = 0, 1 , k = 1,..., = b, i , = 1,, j:(ij)EA p:(p.i)EA I thing 0, Vi,j) E A, k = 1,...,K K where der i=rk -dk, i = 8k 0 si no Construct the dual problem to this. 3) A very important problem in Operations Research, and one that we will use in the course a few times, is the Multi-Product Flow Problem. We now describe the problem. We have a directed network (N,A). There are K pairs of nodes that represent different origins - destinations between which there is flow. Let * = ("k, Sk) be the origin-destination pair k, rk N, 84 N. . For each pair k there is a flow demand, dk that requires traveling from Tk to Sky, using the arcs of the network, but each arc has a capacity Ui; > 0. Additionally, for each arc (ij) there is a unit cost for the flow corresponding to pair k. The problem consists of determining the flows between the different nodes so that the demand is met and the capacity of the arcs is not exceeded, and all this at the lowest possible cost. For the modeling, a variable mij is used, corresponding to the flow in (is). associated to the pair k. The model is: min ,, KEK (13)EA s.t. , - = 0, 1 , k = 1,..., = b, i , = 1,, j:(ij)EA p:(p.i)EA I thing 0, Vi,j) E A, k = 1,...,K K where der i=rk -dk, i = 8k 0 si no Construct the dual problem to this

Step by Step Solution

There are 3 Steps involved in it

1 Expert Approved Answer
Step: 1 Unlock blur-text-image
Question Has Been Solved by an Expert!

Get step-by-step solutions from verified subject matter experts

Step: 2 Unlock
Step: 3 Unlock

Students Have Also Explored These Related General Management Questions!