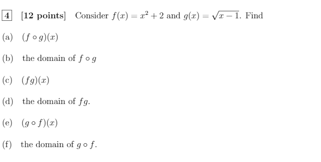
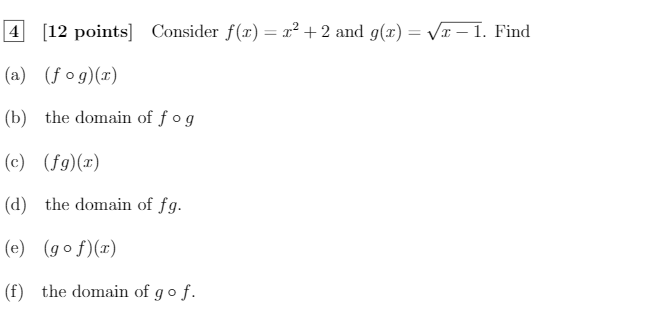
Question: 4 [12 points] Consider f(x) = x2 + 2 and g(x) = vr -1. Find (a) (fog)(1) (b) the domain of fog (c) (fg)(1) (d)
![4 [12 points] Consider f(x) = x2 + 2 and g(x)](https://s3.amazonaws.com/si.experts.images/answers/2024/06/666d4cd0dcfc2_120666d4cd0c7ac8.jpg)

4 [12 points] Consider f(x) = x2 + 2 and g(x) = vr -1. Find (a) (fog)(1) (b) the domain of fog (c) (fg)(1) (d) the domain of fg. (e) (gof)(:) (f) the domain of go f
Step by Step Solution
There are 3 Steps involved in it
Get step-by-step solutions from verified subject matter experts
